基本信息
| 产品名称 |
2,4-二-(alpha-甲氧基乙基)次卟啉-Ix二钾盐 |
| 英文名 |
2,4-Di-(alpha-methoxyethyl)deuteroporphyrin-IX dipotassium salt |
| 别名 |
Bas 00337971; 2,4-Di-(Alpha-Methoxyethyl)Deuteroporphyrin Ix; 2,4-Di-(Alpha-Methoxyethyl)Deuteroporphyrin-Ix Dipotassium Salt |
|
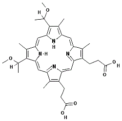
| 分子结构 |
 |
| 分子式 |
C36H42N4O6 |
| 分子量 |
626.75 |
| CAS 登录号 |
31444-62-9 |
| 分子行输入简码 SMILES |
C(C1=C(C3=NC1=CC5=NC(=CC2=C(C(=C([NH]2)C=C4[NH]C(=C3)C(=C4C)C(OC)C)C(OC)C)C)C(=C5CCC(O)=O)C)C)CC(O)=O |
| 国际化学标识码 InChI |
1S/C36H42N4O6/c1-17-23(9-11-33(41)42)29-16-30-24(10-12-34(43)44)18(2)26(38-30)14-31-36(22(6)46-8)20(4)28(40-31)15-32-35(21(5)45-7)19(3)27(39-32)13-25(17)37-29/h13-16,21-22,39-40H,9-12H2,1-8H3,(H,41,42)(H,43,44) |
| 国际化学标识检索码 InChIKey |
RGPDNICUOPAPHO-UHFFFAOYSA-N |
|