全球化学品在线数据库

氯(1,5-己二烯)铑二聚体
[CAS 32965-49-4]

供应商目录
Sigma-Aldrich, Inc. 中国
www.sigmaaldrich.com
+86 (21) 6141-5566
800-819-3336
orderCN@sial.com
化学品生产商 (1992年起)
chemBlink 标准供应商 (2013年起)
Colonial Metals, Inc. 美国
www.colonialmetals.com
+1 (410) 398-7200
(800) 962-1537
+1 (410) 398-2918
sales@colonialmetals.com
化学品生产商

基本信息
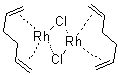
产品名称氯(1,5-己二烯)铑二聚体
英文名Chloro(1,5-hexadiene) rhodium dimer
别名Dichlorobis(1,5-hexadiene)dirhodium
分子结构氯(1,5-己二烯)铑二聚体分子结构 (CAS 32965-49-4)
分子式C12H20Cl2Rh2
分子量441.00
CAS 登录号32965-49-4
EC 号码803-662-6
安全数据
危险品标志symbol   Xi  说明
危害标签R36/37/38  说明
防护标签S26  说明
危害分类
up    说明
危害分类类别码危害标签
皮肤刺激Skin Irrit.2H315
特定目标器官毒性—单次接触STOT SE3H335
严重眼损伤Eye Dam.1H318
眼刺激Eye Irrit.2H319
SDS化学品安全技术说明书参考文本
市场分析报告
相关产品
氯(1,2-二氨基环己烷)(N...  氯(1,2-二甲基丙基)二甲基...  氯(1,2-环己烷二胺)((甲...  氯(1,3-二均三甲苯基咪唑-...  氯(1,3-二均三甲苯基咪唑-...  1-氯-1-(1,3-二氧戊环...  氯(1,5-环辛二烯)(N-(...  氯(1,5-环辛二烯)(N-(...  氯(1,5-环辛二烯)(N-(...  氯(1,5-环辛二烯)铜  氯(1-<sup>13</su...  氯(1-<sup>13</su...  氯(1-<sup>14</su...  1-氯-1-(1H-1,2,3...  氯(1H-咪唑-2-基)锌  氯-(1-环戊二烯并-2,4-...  氯(1-甲基-2-丙烯-1-基...  [[氯-(1-羟基-2,2,5...  铝(1Z)-1-乙氧基-3-氧...  氯(2-(4-(氯甲基)苯基)...