全球化学品在线数据库

甲基乙酰基(乙基)氨基甲酸酯
[CAS 347909-86-8]

供应商
Achemica 瑞士
+41 (24) 466-2929
contact@achemica.com
化学品生产商(2010 年起)
深圳爱拓化学有限公司 中国
+86 13417589054/
info@atomaxchem.com,atomax.chemicals@gmail.com
QQ 交流
化学品生产商
基本信息
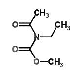
产品名称 甲基乙酰基(乙基)氨基甲酸酯
英文名 Methyl Acetyl(Ethyl)Carbamate
别名 methyl acetyl(ethyl)carbamate
分子结构 CAS 登录号:347909-86-8, 甲基乙酰基(乙基)氨基甲酸酯
分子式 C6H11NO3
分子量 145.16
CAS 登录号 347909-86-8
分子行输入简码 SMILES CCN(C(=O)C)C(=O)OC
国际化学标识码 InChI 1S/C6H11NO3/c1-4-7(5(2)8)6(9)10-3/h4H2,1-3H3
国际化学标识检索码 InChIKey CRWLLTODOZOYMF-UHFFFAOYSA-N
物理化学性质
密度 1.072g/cm3 (计算值)
沸点 244.937°C at 760 mmHg (计算值)
闪点 101.935°C (计算值)
折射率 1.435 (计算值)
市场分析报告
相关产品
2-[3-(N-甲基乙酰氨基)...  2-[3-(N-甲基乙酰氨基)...  [3-(N-甲基乙酰氨基)-2...  2-N,N-甲基乙酰氨基-5-...  N-甲基-乙酰胺钠盐  4-甲基乙酰苯胺; N-乙酰对...  2'-甲基乙酰苯胺  4-甲基乙酰苯胺  N-甲基乙酰苯胺  alpha-甲基乙酰丙酸  N-甲基-N-乙酰基氨基甲基亚...  甲基乙酰基膦酸酯  O-甲基乙酰基硫代氨基磷酸酯铵...  N'-甲基乙酰肼  2-甲基-乙酰基亚氨基乙酸甲酯  甲基乙酰基乙基氧基乙酸酯  2-甲基-乙酰基乙脒  N-甲基乙酰基乙酰胺; 乙酰乙...  N-甲基乙酰氧肟酸  2-甲基乙酰乙酸乙酯