全球化学品在线数据库

mu-氧二[(5,10,15,20-四(4-氯苯基)卟啉)铁]
[CAS 37191-15-4]

供应商目录
沅江华龙催化科技有限公司 中国
www.porphyrin-cn.com
+86 18673173783
+86 (731) 8882-1488
hdccguo@163.com
化学品生产商 (2008年起)
chemBlink 标准供应商 (2016年起)

基本信息
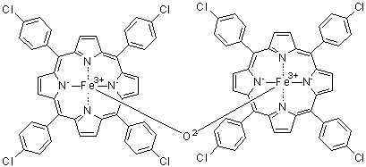
产品名称mu-氧二[(5,10,15,20-四(4-氯苯基)卟啉)铁]
英文名mu-Oxobis[(5,10,15,20-tetrakis(4-chlorophenyl)porphyrinato)iron]
分子结构mu-氧二[(5,10,15,20-四(4-氯苯基)卟啉)铁]分子结构 (CAS 37191-15-4)
分子式C88H48Cl8Fe2N8O
分子量1628.69
CAS 登录号37191-15-4
安全数据
SDS化学品安全技术说明书参考文本
市场分析报告
相关产品
洋地黄毒苷-16'-葡糖苷酸  洋地黄毒苷元-3-beta-N...  洋地黄毒苷元-3-乙酸酯  D-(+)-洋地黄毒素糖  洋地黄蒽醌  洋地黄苷  洋地黄叶甙 C  10-氧多西他赛  烟格雷酯  氧蒽酮霉素  mu-氧-二[[四(4-甲氧基...  mu-氧二[5,10,15,2...  mu-氧二[5,10,15,2...  mu-氧二[5,10,15,2...  mu-氧二[5,10,15,2...  mu-氧二[alpha,bet...  N-氧二乙撑基-2-苯并噻唑次...  氧钒硫酸盐  氧钒柠檬酸盐  氧钒酞菁