全球化学品在线数据库

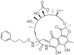
3-[[(3-苯基丙氧基)亚氨基]甲基]-利福霉素
[CAS 38128-87-9]

供应商
BOC Sciences 美国
+1 (631) 485-4226
info@bocsci.com
Skype 聊天
化学品供销商
chemBlink 集群供应商(2012 年起)
基本信息
产品名称 3-[[(3-苯基丙氧基)亚氨基]甲基]-利福霉素
英文名 3-[[(3-Phenylpropoxy)Imino]Methyl]-Rifamycin
别名 3-Formylrifamycin Sv O-(3-Phenylpropyl)Oxime; Brn 5418748; Nsc 143476
分子结构 CAS 登录号:38128-87-9, 3-[[(3-苯基丙氧基)亚氨基]甲基]-利福霉素
分子式 C47H58N2O13
分子量 858.98
CAS 登录号 38128-87-9
分子行输入简码 SMILES [C@H]1([C@H](O)[C@@H]([C@@H](O)[C@@H](C)\C=C\C=C(C(=O)NC4=C(O)C3=C(C2=C(O[C@](O/C=C/[C@H](OC)[C@H]([C@H]1OC(=O)C)C)(C2=O)C)C(=C3O)C)C(=O)\C4=C\NOCCCC5=CC=CC=C5)\C)C)C
国际化学标识码 InChI 1S/C47H58N2O13/c1-24-15-13-16-25(2)46(57)49-37-32(23-48-60-21-14-19-31-17-11-10-12-18-31)41(54)34-35(42(37)55)40(53)29(6)44-36(34)45(56)47(8,62-44)59-22-20-33(58-9)26(3)43(61-30(7)50)28(5)39(52)27(4)38(24)51/h10-13,15-18,20,22-24,26-28,33,38-39,43,48,51-53,55H,14,19,21H2,1-9H3,(H,49,57)/b15-13+,22-20+,25-16-,32-23+/t24-,26+,27+,28+,33-,38-,39+,43+,47-/m0/s1
国际化学标识检索码 InChIKey ZPBNOWWJKRKBEV-YZMZVZPOSA-N
市场分析报告
相关产品
N-苯基丙烯酰胺  3-(3-苯基丙烯酰基)-8-...  (1R,2R)-(+)-1-苯...  2-[(3-苯基丙亚基)氨基]...  2-(3-苯基丙亚基)环戊烷-...  N-[4-[(1-苯基丙亚基氨...  N-[4-[(3-苯基丙亚基氨...  3-(3-苯基丙氧基)苯胺  2-(3-苯基丙氧基)苯胺  4-(3-苯基丙氧基)苯胺  [2-(3-苯基丙氧基)乙基]...  (3-苯基丙氧基)乙醛  2-(苯基-丙氧基甲基)-4,...  4-苯基-4-丙氧基哌啶鎓氯化...  2-苯基-2-丙氧基-乙酰胺肟  2-苯基吡嗪  6-苯基吡嗪-2-胺  (1-(3-苯基吡嗪-2-基)...  6-苯基吡嗪-2-羧酸  3-苯基吡嗪-2-羧酸