全球化学品在线数据库

假马齿苋皂苷 I
[CAS 382148-47-2]

供应商目录
成都普瑞法科技开发有限公司 中国
www.phytopurify.com
+86 (28) 8263-3860
8263-3987
+86 (28) 8263-3165
sales@biopurify.com
biopurify@gmail.com
QQ Chat
Skype Chat
化学品生产商
chemBlink 标准供应商 (2017年起)

基本信息
产品分类分析化学 >> 标准品 >> 分析标准品
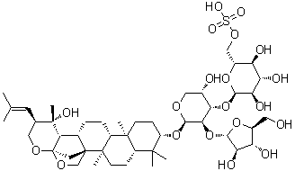
产品名称假马齿苋皂苷 I
英文名Bacopaside I
分子结构假马齿苋皂苷 I分子结构 (CAS 382148-47-2)
分子式C46H74O20S
分子量979.13
CAS 登录号382148-47-2
物理化学性质
溶解度几乎不溶 (0.018 g/L) (25 °C), 计算值*
密度1.48±0.1 g/cm3 (20 °C 760 Torr), 计算值*
*使用计算机软件 Advanced Chemistry Development (ACD/Labs) Software V11.02 (©1994-2015 ACD/Labs)
安全数据
SDS化学品安全技术说明书参考文本
市场分析报告
相关产品
甲氯喹酮  加洛塞米  加洛他滨  甲氯醛脲  甲氯噻嗪  甲氯沙明  甲氯松  甲氯西泮  甲氯西泮  (-)-假马齿苋皂苷 C  假马齿苋皂苷 II  假马齿苋皂苷 V  假马齿苋皂苷 VII  假马齿苋皂素 A  (-)-N-甲麻黄碱  甲麦角灵  甲麦角隐亭  甲脒  甲脒  甲脒-13C乙酸酯