全球化学品在线数据库

二乙基(甲酰氨基甲基)膦酸酯
[CAS 41003-95-6]

供应商
Epsilon Chimie Chemical Manufacturer 法国
+33 (2) 9842-4650
pierre.cornec@epsilon-chimie.com
化学品生产商
Manchester Organics Ltd. 英国
+44 (1928) 710-200
info@manchesterorganics.com
化学品生产商
基本信息
产品名称 二乙基(甲酰氨基甲基)膦酸酯
英文名 Diethyl (Formamidomethyl)Phosphonate
别名 N-(diethoxyphosphorylmethyl)formamide
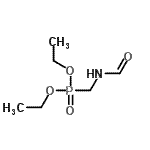
分子结构 CAS 登录号:41003-95-6, 二乙基(甲酰氨基甲基)膦酸酯
分子式 C6H14NO4P
分子量 195.15
CAS 登录号 41003-95-6
分子行输入简码 SMILES CCOP(=O)(CNC=O)OCC
国际化学标识码 InChI 1S/C6H14NO4P/c1-3-10-12(9,11-4-2)6-7-5-8/h5H,3-4,6H2,1-2H3,(H,7,8)
国际化学标识检索码 InChIKey VVQKAXRYIKCIRF-UHFFFAOYSA-N
物理化学性质
密度 1.1±0.1g/cm3 (计算值)
沸点 348.8±25.0°C at 760 mmHg (计算值)
闪点 164.8±23.2°C (计算值)
市场分析报告
相关产品
二乙基(6-氯-2-吲哚基甲基...  二乙基(6-氯-9H-咔唑-2...  6-[6-(二乙基-(6-三乙...  二乙基(6-氧代-1-苯基哒嗪...  二乙基(丙-1-炔基)铵硫酸氢...  二乙基(E)-(3,7-二甲基...  二乙基(二乙氧基甲基)膦酸酯  二乙基(环丙基甲基)膦酸酯  2,5-二乙基-2,5-(环氧...  1-{[二乙基(甲基)硅烷基]...  二乙基(甲氧基甲基)膦酸酯  二乙基(羟基亚胺)丙二酸酯  二乙基(溴{[(2,2,2-三...  二乙基(亚甲基二-4,1-亚苯...  二乙基(异丙基)硅烷  4-(N,N-二乙基)-2-甲...  3-(N,N-二乙基)氨基-4...  3-(N,N-二乙基)氨基苯甲...  3-(N,N-二乙基)氨基乙酰...  N-(2-(二乙基)胺乙基)-...