全球化学品在线数据库

3-(烯丙氧基亚氨基甲基)利福霉素 SV
[CAS 41776-63-0]

供应商
CAS#: 41776-63-0
产品: 3-(烯丙氧基亚氨基甲基)利福霉素 SV
暂时没有厂家供应该产品。
基本信息
产品名称 3-(烯丙氧基亚氨基甲基)利福霉素 SV
英文名 3-(Allyloxyiminomethyl)Rifamycin SV
别名 3-Formylrifamycin Sv O-Allyloxime; Brn 5418268
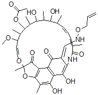
分子结构 CAS 登录号:41776-63-0, 3-(烯丙氧基亚氨基甲基)利福霉素 SV
分子式 C41H52N2O13
分子量 780.87
CAS 登录号 41776-63-0
分子行输入简码 SMILES C(ON/C=C2/C(=O)C1=C3C(=C(C4=C1C(=O)C(O/C=C/C(OC)C(C(OC(=O)C)C(C(O)C(C(O)C(C)\C=C\C=C(C(=O)NC2=C3O)\C)C)C)C)(O4)C)C)O)C=C
国际化学标识码 InChI 1S/C41H52N2O13/c1-11-16-54-42-18-26-31-36(49)29-28(35(26)48)30-38(24(7)34(29)47)56-41(9,39(30)50)53-17-15-27(52-10)21(4)37(55-25(8)44)23(6)33(46)22(5)32(45)19(2)13-12-14-20(3)40(51)43-31/h11-15,17-19,21-23,27,32-33,37,42,45-47,49H,1,16H2,2-10H3,(H,43,51)/b13-12+,17-15+,20-14-,26-18+
国际化学标识检索码 InChIKey BXSLMNMYKCVGHJ-ZYOMNRCASA-N
市场分析报告
相关产品
1-烯丙氧基萘  烯丙氧基三甲基硅烷  2-烯丙氧基四氢吡喃  N-Fmoc-N'-烯丙氧基羰...  N-Fmoc-N'-烯丙氧基羰...  6-N-烯丙氧基羰基-L-赖氨...  N2-Fmoc-N5-烯丙氧基...  4-烯丙氧基香豆素  3-烯丙氧基烯丙基乙酸酯  9-(烯丙氧基亚氨基)-9H-...  2-烯丙氧基乙基丙烯酸酯  2-烯丙氧基乙基甲基丙烯酸酯  2-烯丙氧基乙氧基乙基甲基丙烯...  N-(烯丙氧羰基)甘氨酸  N6-[烯丙氧羰基]-L-赖氨...  N-烯丙氧羰基-1,6-己二胺...  1-烯丙氧羰基-2-甲基-哌啶...  4-N-烯丙氧羰基-氨基环己酮  N2-烯丙氧羰基-N6-(叔丁...  烯丙孕素; 四烯雌酮