全球化学品在线数据库

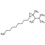
1-甲基-1-(3-甲基-2-丁烷基)-2-壬基环丙烷
[CAS 41977-42-8]

供应商
Achemica 瑞士
+41 (24) 466-2929
contact@achemica.com
化学品生产商(2010 年起)
基本信息
产品名称 1-甲基-1-(3-甲基-2-丁烷基)-2-壬基环丙烷
英文名 1-Methyl-1-(3-Methyl-2-Butanyl)-2-Nonylcyclopropane
别名 1-(1,2-Dimethylpropyl)-1-methyl-2-nonylcyclopropane #
分子结构 CAS 登录号:41977-42-8, 1-甲基-1-(3-甲基-2-丁烷基)-2-壬基环丙烷
分子式 C18H36
分子量 252.48
CAS 登录号 41977-42-8
分子行输入简码 SMILES C(CC1CC1(C)C(C(C)C)C)CCCCCCC
国际化学标识码 InChI 1S/C18H36/c1-6-7-8-9-10-11-12-13-17-14-18(17,5)16(4)15(2)3/h15-17H,6-14H2,1-5H3
国际化学标识检索码 InChIKey ZTXPIEIDVLQNAG-UHFFFAOYSA-N
物理化学性质
密度 0.814g/cm3 (计算值)
沸点 305.502°C at 760 mmHg (计算值)
闪点 135.526°C (计算值)
市场分析报告
相关产品
甲基(3-氟苄基)氨基甲酸酯  (3-甲基-(3H)-苯并噻唑...  N-甲基-N-(3-磺基丙基)...  甲基(3-环己烯-1-基甲基)...  甲基(3-甲基-1,2-恶唑-...  1-甲基-1-(3-甲基-1,...  甲基(3-甲基-1,2-恶唑-...  2-甲基-2-(3-甲基-1-...  甲基(3-甲基-1-硫基-3-...  N-甲基-N-(3-甲基-2-...  5-甲基-5-(3-甲基-2-...  N-甲基-N-(3-甲基-2-...  2-甲基-2-(3-甲基-3-...  甲基(3-甲基-4,5-二氢-...  2-甲基-2-(3-甲基-4-...  甲基(3-甲基-6-氧代-1-...  N-甲基-N-(3-甲基苯基)...  2-[甲基(3-甲基苯基)氨基...  N-甲基-N-(3-甲基苯基)...  N-甲基-N-(3-甲基苯基)...