基本信息
| 产品名称 |
去甘氨酰胺(9)-后叶催产素 |
| 英文名 |
Desglycinamide(9)-Oxytocin |
| 别名 |
(2S)-2-[[(2S)-1-[(4R,7S,10S,16S,19R)-19-Amino-7-(2-Amino-2-Oxo-Ethyl)-10-(3-Amino-3-Oxo-Propyl)-16-[(4-Hydroxyphenyl)Methyl]-6,9,12,15,18-Pentaoxo-13-Sec-Butyl-1,2-Dithia-5,8,11,14,17-Pentazacycloicosane-4-Carbonyl]Pyrrolidine-2-Carbonyl]Amino]-4-Methyl-Pentanoic Acid; (2S)-2-[[[(2S)-1-[[(4R,7S,10S,16S,19R)-19-Amino-7-(2-Amino-2-Oxoethyl)-10-(3-Amino-3-Oxopropyl)-16-[(4-Hydroxyphenyl)Methyl]-6,9,12,15,18-Pentaoxo-13-Sec-Butyl-1,2-Dithia-5,8,11,14,17-Pentazacycloicos-4-Yl]-Oxomethyl]-2-Pyrrolidinyl]-Oxomethyl]Amino]-4-Methylpentanoic Acid; (2S)-2-[[(2S)-1-[(4R,7S,10S,16S,19R)-19-Amino-7-(2-Amino-2-Keto-Ethyl)-10-(3-Amino-3-Keto-Propyl)-16-(4-Hydroxybenzyl)-6,9,12,15,18-Pentaketo-13-Sec-Butyl-1,2-Dithia-5,8,11,14,17-Pentazacycloicosane-4-Carbonyl]Pyrrolidine-2-Carbonyl]Amino]-4-Methyl-Valeric Acid |
|
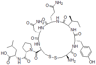
| 分子结构 |
 |
| 分子式 |
C41H62N10O12S2 |
| 分子量 |
951.12 |
| CAS 登录号 |
4294-07-9 |
| 分子行输入简码 SMILES |
[C@@H]3(N(C(=O)[C@H]1NC(=O)[C@@H](NC(=O)[C@@H](NC(=O)C(NC(=O)[C@@H](NC(=O)[C@@H](N)CSSC1)CC2=CC=C(O)C=C2)[C@H](CC)C)CCC(=O)N)CC(=O)N)CCC3)C(=O)N[C@H](C(=O)O)CC(C)C |
| 国际化学标识码 InChI |
1S/C41H62N10O12S2/c1-5-21(4)33-39(60)45-25(12-13-31(43)53)35(56)47-27(17-32(44)54)36(57)49-29(40(61)51-14-6-7-30(51)38(59)48-28(41(62)63)15-20(2)3)19-65-64-18-24(42)34(55)46-26(37(58)50-33)16-22-8-10-23(52)11-9-22/h8-11,20-21,24-30,33,52H,5-7,12-19,42H2,1-4H3,(H2,43,53)(H2,44,54)(H,45,60)(H,46,55)(H,47,56)(H,48,59)(H,49,57)(H,50,58)(H,62,63)/t21-,24-,25-,26-,27-,28-,29-,30-,33?/m0/s1 |
| 国际化学标识检索码 InChIKey |
NWKVBDZGFXQDSB-NDQLTIBASA-N |
|