全球化学品在线数据库

2,4,6-三[[二(2-羟基丙基)氨基]甲基]苯酚
[CAS 51658-23-2]

供应商
CAS#: 51658-23-2
产品: 2,4,6-三[[二(2-羟基丙基)氨基]甲基]苯酚
暂时没有厂家供应该产品。
基本信息
产品名称 2,4,6-三[[二(2-羟基丙基)氨基]甲基]苯酚
英文名 2,4,6-Tris[[Bis(2-Hydroxypropyl)Amino]Methyl]Phenol
别名 2,4,6-Tris((Bis(2-Hydroxypropyl)Amino)Methyl)Phenol
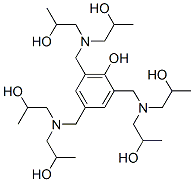
分子结构 CAS 登录号:51658-23-2, 2,4,6-三[[二(2-羟基丙基)氨基]甲基]苯酚
分子式 C27H51N3O7
分子量 529.72
CAS 登录号 51658-23-2
EINECS 登录号 257-341-5
分子行输入简码 SMILES C1=C(C(=C(C=C1CN(CC(O)C)CC(O)C)CN(CC(O)C)CC(O)C)O)CN(CC(O)C)CC(O)C
国际化学标识码 InChI 1S/C27H51N3O7/c1-18(31)9-28(10-19(2)32)15-24-7-25(16-29(11-20(3)33)12-21(4)34)27(37)26(8-24)17-30(13-22(5)35)14-23(6)36/h7-8,18-23,31-37H,9-17H2,1-6H3
国际化学标识检索码 InChIKey BWRQCLMICTXBSB-UHFFFAOYSA-N
物理化学性质
密度 1.196g/cm3 (计算值)
沸点 721.624°C at 760 mmHg (计算值)
闪点 377.093°C (计算值)
市场分析报告
相关产品
三[[(2-氨基乙基)氨基]甲...  3,4,5-三[[(6-重氮基...  3,4,5-三[[(6-重氮基...  3,4,5-三[[(6-二偶氮...  2,4,6-三[[[2-[(2...  三[[2-(叔-丁氧羰基)乙氧...  3-[三[[2-(异辛基氧基)...  三[[2,2',2''-次氮基...  1,4,5-三[[4-(1,1...  1,3,5-三[[5-[[[(...  2,4,6-三[[二(2-羟基...  三[1-(2,6-二甲基苯基)...  三[1-(2,6-二异丙基苯基...  2,3,4-三[1-(2-甲基...  2,4,6-三[1-(甲基苯基...  三[1,1,1-三甲基-N-(...  三[1-苯基异喹啉-C2,N]...  三[2-(1-苄基吡啶-1-鎓...  (OC-6-21)-三[2-(...  (OC-6-22)-三[2-(...