全球化学品在线数据库

(2Z)-4-[(3,3,4,4,5,5,6,6,7,7,8,8,9,9,10,10,10-十七氟癸基)氧基]-4-氧代-2-丁烯酸
[CAS 54950-04-8]

供应商
CAS#: 54950-04-8
产品: (2Z)-4-[(3,3,4,4,5,5,6,6,7,7,8,8,9,9,10,10,10-十七氟癸基)氧基]-4-氧代-2-丁烯酸
暂时没有厂家供应该产品。
基本信息
产品名称 (2Z)-4-[(3,3,4,4,5,5,6,6,7,7,8,8,9,9,10,10,10-十七氟癸基)氧基]-4-氧代-2-丁烯酸
英文名 (2Z)-4-[(3,3,4,4,5,5,6,6,7,7,8,8,9,9,10,10,10-Heptadecafluorodecyl)Oxy]-4-Oxo-2-Butenoic Acid
别名 (3,3,4,4,5,5,6,6,7,7,8,8,9,9,10,10,10-heptadecafluorodecyl) hydrogen maleate
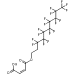
分子结构 CAS 登录号:54950-04-8, (2Z)-4-[(3,3,4,4,5,5,6,6,7,7,8,8,9,9,10,10,10-十七氟癸基)氧基]-4-氧代-2-丁烯酸
分子式 C14H7F17O4
分子量 562.18
CAS 登录号 54950-04-8
EINECS 登录号 259-406-3
分子行输入简码 SMILES FC(F)(CCOC(=O)\C=C/C(O)=O)C(F)(F)C(F)(F)C(F)(F)C(F)(F)C(F)(F)C(F)(F)C(F)(F)F
国际化学标识码 InChI 1S/C14H7F17O4/c15-7(16,3-4-35-6(34)2-1-5(32)33)8(17,18)9(19,20)10(21,22)11(23,24)12(25,26)13(27,28)14(29,30)31/h1-2H,3-4H2,(H,32,33)/b2-1-
国际化学标识检索码 InChIKey ULSWUGAAPQZIFJ-UPHRSURJSA-N
物理化学性质
密度 1.633g/cm3 (计算值)
沸点 323.714°C at 760 mmHg (计算值)
闪点 149.577°C (计算值)
市场分析报告
相关产品
[4-(3,3,4,4,5,5...  [4-(3,3,4,4,5,5...  [4-(3,3,4,4,5,5...  1-[4-(3,3,4,4,5...  1-(3,3,4,4,5,5,...  1-(3,3,4,4,5,5,...  2-[[(3,3,4,4,5,...  4-[(3,3,4,4,5,5...  1-(3,3,4,4,5,5,...  2,2'-[(3,3,4,4,...  (2E)-4-[(3,3,4,...  3,3,4,4,5,5,6,6...  3,3,4,4,5,5,6,6...  十七氟癸基三丙氧基硅烷  十七氟癸基三异丙氧基硅烷  1,1,1,2,2,3,3,4...  3,3,4,4,5,5,6,6...  3,3,4,4,5,5,6,6...  3,3,4,4,5,5,6,6...  十七氟-N-(4-羟基丁基)-...