全球化学品在线数据库

4-O-[2-(3,5-二甲基-4-吗啉基)-2-氧代乙基]利福霉素
[CAS 55372-15-1]

供应商
CAS#: 55372-15-1
产品: 4-O-[2-(3,5-二甲基-4-吗啉基)-2-氧代乙基]利福霉素
暂时没有厂家供应该产品。
基本信息
产品名称 4-O-[2-(3,5-二甲基-4-吗啉基)-2-氧代乙基]利福霉素
英文名 4-O-[2-(3,5-Dimethyl-4-Morpholinyl)-2-Oxoethyl]Rifamycin
别名 Morpholine, 4-(((1,2-Dihydro-5,6,17,19,21-Pentahydroxy-23-Methoxy-2,4,12,16,18,20,22-Heptamethyl-1,11-Dioxo-2,7-(Epoxypentadeca(1,11,13)Trienimino)Naphtho(2,1-B)Furan-9-Yl)Oxy)Acetyl)-3,5-Dimethyl-, 21-Acetate; Rifamycin B Dimethylmorpholide
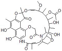
分子结构 CAS 登录号:55372-15-1, 4-O-[2-(3,5-二甲基-4-吗啉基)-2-氧代乙基]利福霉素
分子式 C45H60N2O14
分子量 852.97
CAS 登录号 55372-15-1
分子行输入简码 SMILES C(OC1=C2C4=C(O)C(=C1)NC(=O)C(=C\C=C\C(C)C(O)C(C)C(O)C(C)C(OC(C)=O)C(C(OC)\C=C\OC3(C)OC(=C2C3=O)C(=C4O)C)C)/C)C(=O)N5C(C)COCC5C
国际化学标识码 InChI 1S/C45H60N2O14/c1-21-13-12-14-22(2)44(55)46-30-17-32(58-20-33(49)47-23(3)18-57-19-24(47)4)34-35(40(30)53)39(52)28(8)42-36(34)43(54)45(10,61-42)59-16-15-31(56-11)25(5)41(60-29(9)48)27(7)38(51)26(6)37(21)50/h12-17,21,23-27,31,37-38,41,50-53H,18-20H2,1-11H3,(H,46,55)/b13-12+,16-15+,22-14-
国际化学标识检索码 InChIKey VNGGREZXMCUAKI-JJPORJASSA-N
物理化学性质
密度 1.329g/cm3 (计算值)
沸点 970.205°C at 760 mmHg (计算值)
闪点 540.561°C (计算值)
市场分析报告
相关产品
(3R,5R)-3,5-二甲基...  (3R,5S)-3,5-二甲基...  (2R,6R)-2,6-二甲基...  N,N-二甲基-4-吗啉丙胺  2,6-二甲基-4-吗啉丙腈  2,6-二甲基-4-吗啉磺酰基...  (2,6-二甲基-4-吗啉基)...  (2,6-二甲基-4-吗啉基)...  3-(2,6-二甲基-4-吗啉...  5-(2,6-二甲基-4-吗啉...  1-[4-(2,6-二甲基-4...  1-(2,6-二甲基-4-吗啉...  2-(2,6-二甲基-4-吗啉...  4-(2,6-二甲基-4-吗啉...  N-[(2,6-二甲基-4-吗...  3-(2,6-二甲基-4-吗啉...  3-(2,6-二甲基-4-吗啉...  4-(2,6-二甲基-4-吗啉...  2-(2,6-二甲基-4-吗啉...  (2,6-二甲基-4-吗啉基)...