全球化学品在线数据库

1-(2-甲基丙氨酸)-17-L-赖氨酸-18-L-赖氨酸-19-L-赖氨酰胺-alpha1-19-促肾上腺皮质激素
[CAS 59189-13-8]

供应商
CAS#: 59189-13-8
产品: 1-(2-甲基丙氨酸)-17-L-赖氨酸-18-L-赖氨酸-19-L-赖氨酰胺-alpha1-19-促肾上腺皮质激素
暂时没有厂家供应该产品。
基本信息
产品名称 1-(2-甲基丙氨酸)-17-L-赖氨酸-18-L-赖氨酸-19-L-赖氨酰胺-alpha1-19-促肾上腺皮质激素
英文名 1-(2-Methylalanine)-17-L-lysine-18-L-lysine-19-L-lysinamide-alpha1-19-Corticotropin
别名 690024-S; Acth Nonadecapeptide (1-19), Aib(1)-Lys(17,18,19)-; Acth Nonadecapeptide (1-19), Aminoisobutyryl(1)-Lysine(17,18,19)-
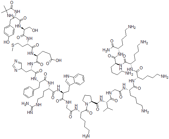
分子结构 CAS 登录号:59189-13-8, 1-(2-甲基丙氨酸)-17-L-赖氨酸-18-L-赖氨酸-19-L-赖氨酰胺-alpha1-19-促肾上腺皮质激素
分子式 C108H172N32O23S
分子量 2318.81
CAS 登录号 59189-13-8
分子行输入简码 SMILES [C@H](C(=O)N)(NC([C@@H](NC([C@@H](NC([C@@H](NC([C@@H](NC(CNC([C@@H](NC([C@H]1N(CCC1)C([C@@H](NC(CNC([C@@H](NC([C@@H](NC([C@@H](NC([C@@H](NC([C@@H](NC([C@@H](NC([C@@H](NC([C@@H](NC(C(N)(C)C)=O)CC2=CC=C(O)C=C2)=O)CO)=O)CCSC)=O)CCC(=O)O)=O)CC3C=NC=N3)=O)CC4=CC=CC=C4)=O)CCCNC(=N)N)=O)CC5=C[NH]C6=CC=CC=C56)=O)=O)CCCCN)=O)=O)C(C)C)=O)=O)CCCCN)=O)CCCCN)=O)CCCCN)=O)CCCCN)=O)CCCCN
国际化学标识码 InChI 1S/C108H172N32O23S/c1-63(2)89(104(161)123-60-86(143)125-72(30-12-18-45-110)92(149)128-74(32-14-20-47-112)94(151)130-75(33-15-21-48-113)95(152)129-73(31-13-19-46-111)93(150)127-71(90(115)147)29-11-17-44-109)139-103(160)85-36-24-51-140(85)105(162)79(34-16-22-49-114)126-87(144)59-122-91(148)82(55-66-57-121-70-28-10-9-27-69(66)70)135-96(153)76(35-23-50-120-107(116)117)131-99(156)80(53-64-25-7-6-8-26-64)134-101(158)83(56-67-58-119-62-124-67)136-97(154)77(41-42-88(145)146)132-98(155)78(43-52-164-5)133-102(159)84(61-141)137-100(157)81(138-106(163)108(3,4)118)54-65-37-39-68(142)40-38-65/h6-10,25-28,37-40,57-58,62-63,67,71-85,89,121,141-142H,11-24,29-36,41-56,59-61,109-114,118H2,1-5H3,(H2,115,147)(H,122,148)(H,123,161)(H,125,143)(H,126,144)(H,127,150)(H,128,149)(H,129,152)(H,130,151)(H,131,156)(H,132,155)(H,133,159)(H,134,158)(H,135,153)(H,136,154)(H,137,157)(H,138,163)(H,139,160)(H,145,146)(H4,116,117,120)/t67?,71-,72-,73-,74-,75-,76-,77-,78-,79-,80-,81-,82-,83-,84-,85-,89-/m0/s1
国际化学标识检索码 InChIKey PAOFUOAKOARBGX-ZELLHGMUSA-N
市场分析报告
相关产品
2-[2-(2-甲基丙-2-烯...  2-[2-[2-(2-甲基丙-...  4-(2-甲基丙-2-烯氧基)...  1-(2-甲基丙-2-烯氧基)...  4-(2-甲基丙-2-烯氧基)...  2-(2-甲基丙-2-烯氧基)...  2-甲基-2-丙胺 3-(3-...  2-甲基-2-丙铵(3R,5S...  2-甲基丙氨酸  2-甲基丙氨酸(羧基-14C)...  8-(N-甲基丙氨酸)环孢菌素...  N-甲基丙氨酸钾  甲基丙氨酰(6)-环孢菌素A  2-[(2-甲基丙氨酰)氨基]...  2-甲基丙氨酰胺  2-甲基丙氨酰甘氨酰-2-甲基...  2-甲基丙氨酰-N-[(1S,...  2-甲基-2-丙醇-D  甲基丙二腈  2-甲基-丙二醛