全球化学品在线数据库

生长抑素 SS-1
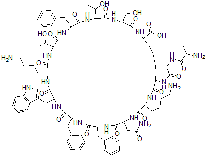
[CAS 59983-96-9]

供应商
CAS#: 59983-96-9
产品: 生长抑素 SS-1
暂时没有厂家供应该产品。
基本信息
产品名称 生长抑素 SS-1
英文名 Somatostatin SS-1
别名 Growth Hormone-Release Inhibiting Factor (Sheep Reduced), 3-(L-Threo-2,7-Diaminooctanedioic Acid)-14-De-L-Cysteine-, Cyclic (13-3)-Peptide; Somatostatin Ss-1
分子结构 CAS 登录号:59983-96-9, 生长抑素 SS-1
分子式 C78H108N18O19
分子量 1601.82
CAS 登录号 59983-96-9
分子行输入简码 SMILES C6=C(CC1C(=O)NC(C(NC(C(=O)NC(C(=O)NC(C(O)C)C(=O)NC(C(=O)NC(C(=O)NC(C(=O)NC(CCCCC(C(=O)NC(CCCCN)C(=O)NC(C(=O)N1)CC(=O)N)NC(=O)CNC(=O)C(N)C)C(O)=O)CO)C(O)C)CC2=CC=CC=C2)CCCCN)CC3=C[NH]C4=C3C=CC=C4)=O)CC5=CC=CC=C5)C=CC=C6
国际化学标识码 InChI 1S/C78H108N18O19/c1-43(81)66(102)84-41-63(101)85-52-29-15-16-32-55(78(114)115)88-75(111)61(42-97)94-77(113)65(45(3)99)96-74(110)58(37-48-25-11-6-12-26-48)93-76(112)64(44(2)98)95-69(105)54(31-18-20-34-80)87-72(108)59(38-49-40-83-51-28-14-13-27-50(49)51)91-71(107)57(36-47-23-9-5-10-24-47)89-70(106)56(35-46-21-7-4-8-22-46)90-73(109)60(39-62(82)100)92-68(104)53(86-67(52)103)30-17-19-33-79/h4-14,21-28,40,43-45,52-61,64-65,83,97-99H,15-20,29-39,41-42,79-81H2,1-3H3,(H2,82,100)(H,84,102)(H,85,101)(H,86,103)(H,87,108)(H,88,111)(H,89,106)(H,90,109)(H,91,107)(H,92,104)(H,93,112)(H,94,113)(H,95,105)(H,96,110)(H,114,115)
国际化学标识检索码 InChIKey CCWNWQAFNNLKTG-UHFFFAOYSA-N
物理化学性质
密度 1.39g/cm3 (计算值)
沸点 1937.8°C at 760 mmHg (计算值)
闪点 1125.8°C (计算值)
市场分析报告
相关产品
生长激素 (6-13)  生长激素(176-191)  生长激素释放激素(1-37)酰...  生长激素释放肽-6  生长激素释放因子 (1-44)...  生长激素释放因子片段 1-40...  生长抑素  生长抑素 25-(1-9)  生长抑素 28  生长抑素 28-(1-12)  生长抑素(1-28)  生长抑素-25  生长抑素-25  生长抑素-28  LTT-生长抑素-28  生长抑素-28 (1-14)  生度米星  生根粉 F; 3-吲哚基丁酸和...  生姜提取物  圣罗勒提取物