全球化学品在线数据库

3'-脱氧烟酰胺腺嘌呤二核苷酸
[CAS 60902-13-8]

供应商
CAS#: 60902-13-8
产品: 3'-脱氧烟酰胺腺嘌呤二核苷酸
暂时没有厂家供应该产品。
基本信息
产品名称 3'-脱氧烟酰胺腺嘌呤二核苷酸
英文名 3'-Deoxynicotinamide Adenine Dinucleotide
别名 (2R,3R,4S,5R)-5-[[[[(2S,4R,5R)-5-(6-Aminopurin-9-Yl)-4-Hydroxy-Tetrahydrofuran-2-Yl]Methoxy-Hydroxy-Phosphoryl]Oxy-Hydroxy-Phosphoryl]Oxymethyl]-2-(3-Carbamoylpyridin-1-Ium-1-Yl)-4-Hydroxy-Tetrahydrofuran-3-Olate; (2R,3R,4S,5R)-5-[[[[(2S,4R,5R)-5-(6-Amino-9-Purinyl)-4-Hydroxy-2-Tetrahydrofuranyl]Methoxy-Hydroxyphosphoryl]Oxy-Hydroxyphosphoryl]Oxymethyl]-2-(3-Carbamoyl-1-Pyridin-1-Iumyl)-4-Hydroxy-3-Tetrahydrofuranolate; (2R,3R,4S,5R)-2-(3-Aminocarbonylpyridin-1-Ium-1-Yl)-5-[[[[(2S,4R,5R)-5-(6-Aminopurin-9-Yl)-4-Hydroxy-Oxolan-2-Yl]Methoxy-Hydroxy-Phosphoryl]Oxy-Hydroxy-Phosphoryl]Oxymethyl]-4-Hydroxy-Oxolan-3-Olate
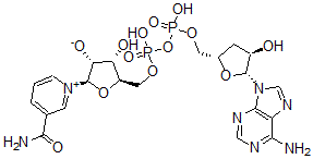
分子结构 CAS 登录号:60902-13-8, 3'-脱氧烟酰胺腺嘌呤二核苷酸
分子式 C21H27N7O13P2
分子量 647.43
CAS 登录号 60902-13-8
分子行输入简码 SMILES [C@H]1(O[C@@H](C[C@H]1O)CO[P](O[P](OC[C@H]3O[C@@H]([N+]2=CC(=CC=C2)C(=O)N)[C@H]([O-])[C@@H]3O)(=O)O)(=O)O)[N]4C5=C(N=C4)C(=NC=N5)N
国际化学标识码 InChI 1S/C21H27N7O13P2/c22-17-14-19(25-8-24-17)28(9-26-14)20-12(29)4-11(39-20)6-37-42(33,34)41-43(35,36)38-7-13-15(30)16(31)21(40-13)27-3-1-2-10(5-27)18(23)32/h1-3,5,8-9,11-13,15-16,20-21,29-30H,4,6-7H2,(H2,23,32)(H,33,34)(H,35,36)(H2,22,24,25)/t11-,12+,13+,15+,16+,20+,21+/m0/s1
国际化学标识检索码 InChIKey KZWAMALCNOMYNA-IYNGMOOJSA-N
市场分析报告
相关产品
脱氧雪腐镰刀菌烯醇3-葡糖苷溶...  脱氧雪腐镰菌醇单乙酸酯  3-脱氧-3-亚甲基-D-赤式...  3'-脱氧-3'-氧代-2',...  3-脱氧-3-氧代-20(S)...  2'-脱氧-2'-氧代-3',...  9-脱氧-9-氧代白霉素 V ...  20-脱氧-20-氧代佛波醇 ...  17-脱氧-17-氧代-曲张链...  脱氧延龄草甙 A  2'-脱氧烟酰胺腺嘌呤二核苷酸  脱氧鸭嘴花碱酮  脱氧鸭嘴花碱盐酸盐; 去氧鸭嘴...  1-脱氧野尻霉素; (2R,3...  2'-脱氧异胞苷  2’-脱氧异胞苷-5’,5’-...  2'-脱氧异鸟苷  15-脱氧尤可甾醇  6-脱氧杂色曲霉素A  11-脱氧泽泻醇 B