全球化学品在线数据库

二氢环孢菌素 D
[CAS 63775-91-7]

供应商
Alfa Chemistry 美国
+1 (201) 478-8534
inquiry@alfa-chemistry.com
化学品供销商(2012 年起)
chemBlink 标准供应商(2012 年起)
BOC Sciences 美国
+1 (631) 485-4226
info@bocsci.com
Skype 聊天
化学品供销商
chemBlink 集群供应商(2012 年起)
基本信息
产品名称 二氢环孢菌素 D
英文名 Dihydrocyclosporin D
别名 (3S,6S,9S,12R,15S,18S,21S,24S,30S)-33-[(1R,2R)-1-Hydroxy-2-Methyl-Hexyl]-6,9,18,24-Tetraisobutyl-3,21,30-Triisopropyl-1,4,7,10,12,15,19,25,28-Nonamethyl-1,4,7,10,13,16,19,22,25,28,31-Undecazacyclotritriacontane-2,5,8,11,14,17,20,23,26,29,32-Undecone; (3S,6S,9S,12R,15S,18S,21S,24S,30S)-33-[(1R,2R)-1-Hydroxy-2-Methylhexyl]-6,9,18,24-Tetraisobutyl-3,21,30-Triisopropyl-1,4,7,10,12,15,19,25,28-Nonamethyl-1,4,7,10,13,16,19,22,25,28,31-Undecazacyclotritriacontane-2,5,8,11,14,17,20,23,26,29,32-Undecone; (3S,6S,9S,12R,15S,18S,21S,24S,30S)-33-[(1R,2R)-1-Hydroxy-2-Methyl-Hexyl]-1,4,7,10,12,15,19,25,28-Nonamethyl-6,9,18,24-Tetrakis(2-Methylpropyl)-3,21,30-Tri(Propan-2-Yl)-1,4,7,10,13,16,19,22,25,28,31-Undecazacyclotritriacontane-2,5,8,11,14,17,20,23,26,29,32-Undecone
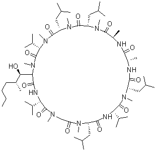
分子结构 CAS 登录号:63775-91-7, 二氢环孢菌素 D
分子式 C63H115N11O12
分子量 1218.67
CAS 登录号 63775-91-7
分子行输入简码 SMILES [C@H]1(N(C(=O)[C@H](NC(=O)[C@@H](NC(=O)[C@@H](N(C(=O)[C@@H](NC(=O)[C@@H](N(C(=O)CN(C(=O)[C@@H](NC(=O)C(N(C(=O)[C@@H](N(C(=O)[C@@H](N(C1=O)C)CC(C)C)C)C(C)C)C)[C@H](O)[C@@H](CCCC)C)C(C)C)C)C)CC(C)C)C(C)C)C)CC(C)C)C)C)C)CC(C)C
国际化学标识码 InChI 1S/C63H115N11O12/c1-26-27-28-41(16)53(76)52-57(80)67-49(38(10)11)61(84)68(19)33-48(75)69(20)44(29-34(2)3)56(79)66-50(39(12)13)62(85)70(21)45(30-35(4)5)55(78)64-42(17)54(77)65-43(18)58(81)71(22)46(31-36(6)7)59(82)72(23)47(32-37(8)9)60(83)73(24)51(40(14)15)63(86)74(52)25/h34-47,49-53,76H,26-33H2,1-25H3,(H,64,78)(H,65,77)(H,66,79)(H,67,80)/t41-,42+,43-,44+,45+,46+,47+,49+,50+,51+,52?,53-/m1/s1
物理化学性质
密度 1.0±0.1g/cm3 (计算值)
沸点 1286.4±65.0°C at 760 mmHg (计算值)
闪点 731.8±34.3°C (计算值)
市场分析报告
相关产品
二氢庚异戊烯基磷酸酯  二氢光花椒碱  1,1-二氢过氧环己烷  1,1'-二氢过氧基环己基过氧...  二氫和厚朴酚  二氢红古豆碱盐酸盐  二氰化钾金(+1)  2,3-二氢花椒毒酚  5-beta-二氢化可的松  二氢桦木酸  二氢环孢霉素 H  二氢环孢素 A  二氢环孢素 C  1A,2-二氢-环丙并[a]吡...  2-(1A,6-二氢环丙并[a...  2-(1A,6-二氢环丙并[a...  2-(1A,6-二氢环丙并[a...  6beta,8alpha-二氢...  5,8-二氢-环丁[b]吡啶并...  5,8-二氢-环丁[b]吡啶并...