全球化学品在线数据库

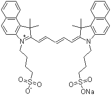
2-[5-[1,1-二甲基-3-(4-磺酸基丁基)-1,3-二氢苯并[e]吲哚-2-亚基]-戊-1,3-二烯基]-1,1-二甲基-3-(4-磺酸基丁基)-1H-苯并[e]吲哚鎓内盐钠盐
[CAS 64285-36-5]

供应商目录
FEW Chemicals GmbH 德国
www.few.de
+49 (3494) 638-050
+49 (3494) 638-099
few@few.de
化学品生产商

基本信息
产品名称2-[5-[1,1-二甲基-3-(4-磺酸基丁基)-1,3-二氢苯并[e]吲哚-2-亚基]-戊-1,3-二烯基]-1,1-二甲基-3-(4-磺酸基丁基)-1H-苯并[e]吲哚鎓内盐钠盐
英文名2-[5-[1,1-Dimethyl-3-(4-sulfobutyl)-1,3-dihydrobenzo[e]indol-2-ylidene]penta-1,3-dienyl]-1,1-dimethyl-3-(4-sulfobutyl)-1H-benzo[e]indolium inner salt sodium salt
分子结构2-[5-[1,1-二甲基-3-(4-磺酸基丁基)-1,3-二氢苯并[e]吲哚-2-亚基]-戊-1,3-二烯基]-1,1-二甲基-3-(4-磺酸基丁基)-1H-苯并[e]吲哚鎓内盐钠盐分子结构 (CAS 64285-36-5)
分子式C41H45N2O6S2.Na
分子量748.93
CAS 登录号64285-36-5
EC 号码811-019-6
安全数据
危害分类
up    说明
危害分类类别码危害标签
眼刺激Eye Irrit.2H319
皮肤刺激Skin Irrit.2H315
SDS化学品安全技术说明书参考文本
市场分析报告
相关产品
2,2-二甲基-3-(3-亚甲...  N,N-二甲基-3-(3-氧代...  2,8-二甲基-3-(3-氧代...  N,N-二甲基-3-(4,4,...  N,N-二甲基-3-(4,4,...  5,5-二甲基-3-(4-苯基...  5,5-二甲基-3-(4-氟苯...  5,N-二甲基-3-(4-氟苯...  1,1-二甲基-3-(4H-1...  1,2-二甲基-3-(4-磺基...  2,2-二甲基-3-(4-甲基...  N,N-二甲基-3-(4-甲基...  (2E)-N,N-二甲基-3-...  2,3-二甲基-3-(4-甲基...  1,1-二甲基-3-(4-甲基...  N,N-二甲基-3-(4-甲基...  5,5-二甲基-3-(4-甲基...  N,N-二甲基-3-(4-甲基...  1,6-二甲基-3-(4-甲基...  1,2-二甲基-3-(4-甲基...