全球化学品在线数据库

三辛酸甘油酯(羧基-13C3)
[CAS 65402-55-3]

供应商目录
Cambridge Isotope Laboratories, Inc. 美国
www.isotope.com
+1 (978) 749-8000
+1 (978) 749-2768
cilsales@isotope.com
化学品生产商

基本信息
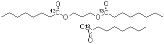
产品名称三辛酸甘油酯(羧基-<sup>13</sup>C<sub>3</sub>)
英文名Octanoic-1-<sup>13</sup>C acid 1,2,3-propanetriyl ester
分子结构三辛酸甘油酯(羧基-<sup>13</sup>C<sub>3</sub>)分子结构 (CAS 65402-55-3)
分子式C27H50O6
分子量470.68
CAS 登录号65402-55-3
安全数据
SDS化学品安全技术说明书参考文本
市场分析报告
相关产品
三辛基硅  三辛基甲基铵合二(三氟甲基磺酰...  三辛基甲基硫酸铵  三辛基甲基溴化铵  三辛基氯化铵  三辛基氯化锡  N,N,N'-三辛基-N'-[...  三辛基-巯基膦烷  三辛基胂  三辛酸甘油酯  三辛酸铝  三新戊二醇联硼酸酯  三新戊基铝  三-新-戊基亚磷酸盐  三锡三氧化物  3,9,10-三溴-(+)-樟...  三溴(二甲基硫醚)硼  三溴(氟)硅烷  2,4,5-三溴-1-(2-甲...  3,4,5-三溴-1-(4-硝...