基本信息
| 产品名称 |
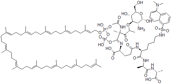
十一联异戊烯二磷酸酯-N-乙酰基胞壁酸-(5-二甲基氨基萘-1-磺酰基)五肽 |
| 英文名 |
Undecaprenyl Diphosphate-N-Acetylmuramoyl-(5-Dimethylaminonaphthalene-1-Sulfonyl)Pentapeptide |
| 别名 |
(2S)-2-[[(2S)-2-Acetamido-4-[(2S,3R,4R,5S,6R)-3-Amino-2,5-Dihydroxy-6-Methylol-Tetrahydropyran-4-Yl]Oxy-1-[Hydroxy-[Hydroxy-[(2E,6E,10E,14E,18E,22E,26E,30E,34E,38E)-3,7,11,15,19,23,27,31,35,39,43-Undecamethyltetratetraconta-2,6,10,14,18,22,26,30,34,38,42-Undecaenoxy]Phosphoryl]Oxy-Phosphoryl]Oxy-3-Keto-2-Methyl-Pentylidene]Amino]-5-[[(1S)-5-[(5-Dimethylamino-1-Naphthyl)Sulfonylamino]-1-[[(1R)-2-[[(1R)-2-Hydroxy-2-Keto-1-Methyl-Ethyl]Amino]-2-Keto-1-Methyl-Ethyl]Carbamoyl]Pentyl]Amino]-5-Keto-Valeric Acid; (2S)-2-[[(2S)-2-Acetamido-4-[(2S,3R,4R,5S,6R)-3-Amino-2,5-Dihydroxy-6-(Hydroxymethyl)Oxan-4-Yl]Oxy-1-[Hydroxy-[Hydroxy-[(2E,6E,10E,14E,18E,22E,26E,30E,34E,38E)-3,7,11,15,19,23,27,31,35,39,43-Undecamethyltetratetraconta-2,6,10,14,18,22,26,30,34,38,42-Undecaenoxy]Phosphoryl]Oxy-Phosphoryl]Oxy-2-Methyl-3-Oxo-Pentylidene]Amino]-5-[[(2S)-6-[(5-Dimethylaminonaphthalen-1-Yl)Sulfonylamino]-1-[[(2R)-1-[[(2R)-1-Hydroxy-1-Oxo-Propan-2-Yl]Amino]-1-Oxo-Propan-2-Yl]Amino]-1-Oxo-Hexan-2-Yl]Amino]-5-Oxo-Pentanoic Acid; Undecaprenyl Diphosphate-N-Acetylmuramoyl-(5-Dimethylaminonaphthalene-1-Sulfonyl)Pentapeptide |
|
| 分子结构 |
 |
| 分子式 |
C98H154N8O23P2S |
| 分子量 |
1906.34 |
| CAS 登录号 |
65717-73-9 |
| 分子行输入简码 SMILES |
[C@@](NC(=O)C)(C(O[P](O[P](OC\C=C(\CC\C=C(\CC\C=C(\CC\C=C(\CC\C=C(\CC\C=C(\CC/C=C(/CC/C=C(/CC/C=C(/CC/C=C(/CCC=C(C)C)C)C)C)C)C)C)C)C)C)C)(=O)O)(=O)O)=N[C@H](C(=O)O)CCC(=O)N[C@@H](CCCCN[S](=O)(=O)C1=C2C(=CC=C1)C(=CC=C2)N(C)C)C(=O)N[C@@H](C(=O)N[C@@H](C(=O)O)C)C)(C(=O)C(O[C@H]3[C@H](O)[C@H](O[C@H](O)[C@@H]3N)CO)C)C |
| 国际化学标识码 InChI |
1S/C98H154N8O23P2S/c1-65(2)34-22-35-66(3)36-23-37-67(4)38-24-39-68(5)40-25-41-69(6)42-26-43-70(7)44-27-45-71(8)46-28-47-72(9)48-29-49-73(10)50-30-51-74(11)52-31-53-75(12)61-63-125-130(119,120)129-131(121,122)128-97(98(17,105-79(16)108)91(111)78(15)126-90-88(99)96(118)127-85(64-107)89(90)110)104-83(95(116)117)59-60-87(109)103-82(93(113)101-76(13)92(112)102-77(14)94(114)115)56-20-21-62-100-132(123,124)86-58-33-54-80-81(86)55-32-57-84(80)106(18)19/h32-34,36,38,40,42,44,46,48,50,52,54-55,57-58,61,76-78,82-83,85,88-90,96,100,107,110,118H,20-31,35,37,39,41,43,45,47,49,51,53,56,59-60,62-64,99H2,1-19H3,(H,101,113)(H,102,112)(H,103,109)(H,105,108)(H,114,115)(H,116,117)(H,119,120)(H,121,122)/b66-36+,67-38+,68-40+,69-42+,70-44+,71-46+,72-48+,73-50+,74-52+,75-61+,104-97?/t76-,77-,78?,82+,83+,85-,88-,89-,90-,96+,98-/m1/s1 |
| 国际化学标识检索码 InChIKey |
QVFJPCLDIYTJAJ-MLLCXBRFSA-N |
|