全球化学品在线数据库

环(L-丙氨酰-D-苏氨酰-L-半胱氨酰(1)-L-脯氨酰-L-丙氨酰-L-色氨酰2(1)-4-羟基-L-亮氨酰-)
[CAS 67739-84-8]

供应商
CAS#: 67739-84-8
产品: 环(L-丙氨酰-D-苏氨酰-L-半胱氨酰(1)-L-脯氨酰-L-丙氨酰-L-色氨酰2(1)-4-羟基-L-亮氨酰-)
暂时没有厂家供应该产品。
基本信息
产品名称 环(L-丙氨酰-D-苏氨酰-L-半胱氨酰(1)-L-脯氨酰-L-丙氨酰-L-色氨酰2(1)-4-羟基-L-亮氨酰-)
英文名 Cyclo(L-Ala-D-Thr-L-Cys(1)-L-Pro-L-Ala-L-Trp2(1)-4-Hydroxy-L-Leu-)
别名 Phalloidin, 4-L-Proline-7-(4-Hydroxy-L-Leucine)-; Prophalloin
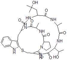
分子结构 CAS 登录号:67739-84-8, 环(L-丙氨酰-D-苏氨酰-L-半胱氨酰(1)-L-脯氨酰-L-丙氨酰-L-色氨酰2(1)-4-羟基-L-亮氨酰-)
分子式 C35H48N8O9S
分子量 756.87
CAS 登录号 67739-84-8
分子行输入简码 SMILES C5=C4C3=C(SCC1NC(=O)C(NC(=O)C(NC(=O)C(NC(=O)C(NC(=O)C(NC(=O)C2N(C1=O)CCC2)C)C3)CC(O)(C)C)C)C(O)C)[NH]C4=CC=C5
国际化学标识码 InChI 1S/C35H48N8O9S/c1-16-27(45)38-22-13-20-19-9-6-7-10-21(19)41-33(20)53-15-24(34(51)43-12-8-11-25(43)31(49)37-16)40-32(50)26(18(3)44)42-28(46)17(2)36-30(48)23(39-29(22)47)14-35(4,5)52/h6-7,9-10,16-18,22-26,41,44,52H,8,11-15H2,1-5H3,(H,36,48)(H,37,49)(H,38,45)(H,39,47)(H,40,50)(H,42,46)
国际化学标识检索码 InChIKey VXROMVCOGJAUJL-UHFFFAOYSA-N
物理化学性质
密度 1.438g/cm3 (计算值)
沸点 1277.28°C at 760 mmHg (计算值)
闪点 726.273°C (计算值)
市场分析报告
相关产品
环(甲基酪氨酰-异亮氨酰-脯氨...  环(赖氨酰-脯氨酰)  环(赖氨酰-脯氨酰-甘氨酰-脯...  环(酪氨酰精氨酰)  环(酪氨酰-酪氨酰)  环(酪氨酰-鸟氨酰-苯基甘氨酰...  环(酪氨酰-异亮氨酰-谷氨酰胺...  环(L-苯丙氨酰-反式-4-羟...  环(L-苯丙氨酰-L-色氨酰)  环(L-苯丙氨酰-L-丝氨酰)  环(L-丙氨酰甘氨酰-L-脯氨...  环(L-丙氨酰甘氨酰-L-精氨...  环(L-丙氨酰-L-alpha...  环(L-丙氨酰-L-alpha...  环(L-丙氨酰-L-alpha...  环(L-丙氨酰-L-缬氨酰甘氨...  环(L-丙氨酰-N-甲基-L-...  环(L-脯氨酰甘氨酰-L-脯氨...  环(L-脯氨酰-L-酪氨酰)  环(L-脯氨酰-L-亮氨酰)