全球化学品在线数据库

3,6,9,12,15,18,21,24,27,30-十氧杂三十二烷-1,32-二醇
[CAS 6809-70-7]

供应商目录
苏州昊帆生物股份有限公司 中国
www.highfine.com
+86 (512) 6708-1238
6920-9928
+86 13906211132
+86 (512) 6841-7696 / 6805-6883
sales@highfine.com
QQ Chat
化学品生产商 (2003年起)
chemBlink 标准供应商 (2008年起)
Biochempeg 美国
www.biochempeg.com
+1 (857) 366-6766
+1 (617) 206-9595
sales@biochempeg.com
化学品生产商 (2013年起)
chemBlink 标准供应商 (2014年起)
Wonderchem Co., Limited 香港
www.wonder-chem.com
+852 8192-5218
sales@wonder-chem.com
化学品供销商 (2016年起)
chemBlink 标准供应商 (2017年起)

基本信息
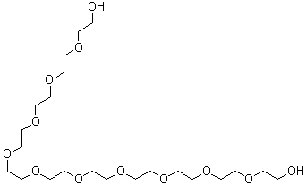
产品名称3,6,9,12,15,18,21,24,27,30-十氧杂三十二烷-1,32-二醇
英文名3,6,9,12,15,18,21,24,27,30-Decaoxadotriacontane-1,32-diol
别名Undecaethylene glycol
分子结构3,6,9,12,15,18,21,24,27,30-十氧杂三十二烷-1,32-二醇分子结构 (CAS 6809-70-7)
分子式C22H46O12
分子量502.59
CAS 登录号6809-70-7
EC 号码229-884-8
物理化学性质
溶解度极易溶解 (1000 g/L) (25 °C), 计算值*
密度1.116±0.06 g/cm3 (20 °C 760 Torr), 计算值*
*使用计算机软件 Advanced Chemistry Development (ACD/Labs) Software V11.02 (©1994-2016 ACD/Labs)
安全数据
SDS化学品安全技术说明书参考文本
市场分析报告
相关产品
2-(2-十五烷氧基乙氧基)乙...  3,6,9,12,15,18,...  铈硒化物  十溴二苯醚  十溴二苯乙烷  5,5'-[十亚甲基二(羰基亚...  2,2'-(十亚甲基二硫代)二...  1,1'-(十亚甲基二氧基)二...  3,8,15,20,27,32...  3,6,9,12,15,18,...  2,5,8,11,14,17,...  2,5,8,11,14,17,...  3,6,9,12,15,18,...  3,6,9,12,15,18,...  3,6,9,12,15,18,...  3,6,9,12,15,18,...  十一氟(1,1,1,2,3,3...  十一氟(2-碘乙基)环己烷  十一氟(九氟丁基)环己烷  2,3,3,4,4,5,5,6...