| 成都普瑞法科技开发有限公司 | 中国 | |||
|---|---|---|---|---|
![]() | www.phytopurify.com | |||
![]() | +86 (28) 8263-3860 8263-3987 | |||
![]() | +86 (28) 8263-3165 | |||
![]() | sales@biopurify.com biopurify@gmail.com | |||
![]() | QQ Chat | |||
![]() | Skype Chat | |||
| 化学品生产商 | ||||
| chemBlink 标准供应商 (2017年起) | ||||
| 常州新星联生物科技有限公司 | 中国 | |||
|---|---|---|---|---|
![]() | www.neostarunited.com | |||
![]() | +86 (519) 8555-7386 +86 18015025600 | |||
![]() | +86 (519) 8555-7389 | |||
![]() | marketing1@neostarunited.com | |||
| 化学品供销商 (2014年起) | ||||
| chemBlink 标准供应商 (2020年起) | ||||
| 产品分类 | 生物化工 >> 植物提取物 |
|---|---|
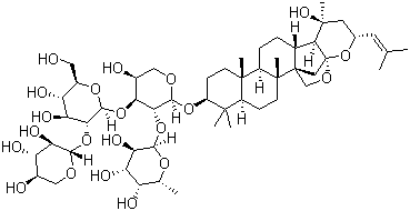
| 产品名称 | 酸枣仁皂苷 B1 |
| 英文名 | Jujuboside B1 |
| 别名 | (3beta,16beta,23R)-16,23:16,30-Diepoxy-20-hydroxydammar-24-en-3-yl O-6-deoxy-alpha-D-galactopyranosyl-(1-2)-O-[O-beta-D-xylopyranosyl-(1-2)-beta-D-glucopyranosyl-(1-3)]-alpha-L-arabinopyranoside |
| 分子结构 | ![]() |
| 分子式 | C52H84O21 |
| 分子量 | 1045.21 |
| CAS 登录号 | 68144-21-8 |
| 密度 | 1.44 |
|---|---|
| 市场分析报告 |