全球化学品在线数据库

2,2,2-三氯-N'-{[(4-氯苯基)氨基甲酰]氧基}乙脒
[CAS 73623-04-8]

供应商
CAS#: 73623-04-8
产品: 2,2,2-三氯-N'-{[(4-氯苯基)氨基甲酰]氧基}乙脒
暂时没有厂家供应该产品。
基本信息
产品名称 2,2,2-三氯-N'-{[(4-氯苯基)氨基甲酰]氧基}乙脒
英文名 2,2,2-Trichloro-N'-{[(4-chlorophenyl)carbamoyl]oxy}ethanimidamide
别名 2,2, 2-Trichloroacetimidohydroxamic p-chlorophenylcarbamicanhydride; 2,2,2-Trichloroacetimidohydroxamic p-chlorophenylcarbamicanhydride; Carbanilic acid, p-chloro-, 2,2,2-trichloroacetimidoylamino ester
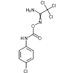
分子结构 CAS 登录号:73623-04-8, 2,2,2-三氯-N'-{[(4-氯苯基)氨基甲酰]氧基}乙脒
分子式 C9H7Cl4N3O2
分子量 330.98
CAS 登录号 73623-04-8
分子行输入简码 SMILES Clc1ccc(NC(=O)ON=C(N)C(Cl)(Cl)Cl)cc1
国际化学标识码 InChI 1S/C9H7Cl4N3O2/c10-5-1-3-6(4-2-5)15-8(17)18-16-7(14)9(11,12)13/h1-4H,(H2,14,16)(H,15,17)
国际化学标识检索码 InChIKey UQGGWYCMAMPRLY-UHFFFAOYSA-N
物理化学性质
密度 1.641g/cm3 (计算值)
市场分析报告
相关产品
2,2,2-三氯-N-(4-氰...  2,4,6-三氯-N-(环己基...  2,2,2-三氯-N-(2,2...  1,1,1-三氯-N,N-二甲...  2,2,2-三氯-N,N-二甲...  2,2,4-三氯-N,N-二乙...  2,2,2-三氯-N-[2-[...  1,2,2-三氯-N-[2-[...  2,3,3-三氯-N-[2-羟...  2,2,2-三氯-N-[6-[...  1,4,6-三氯萘  1,4,5-三氯萘  1,2,4-三氯萘  1,2,3-三氯萘  1,3,5-三氯萘  1,2,6-三氯萘  1,2,5-三氯萘  1,2,7-三氯萘  1,2,8-三氯萘  1,3,6-三氯萘