全球化学品在线数据库

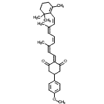
2-[(2Z,4Z,6Z,8Z)-3,7-二甲基-9-(2,6,6-三甲基-1-环己烯-1-基)-2,4,6,8-壬四烯-1-亚基]-5-(4-甲氧基苯基)-1,3-环己烷二酮
[CAS 73685-21-9]

供应商
CAS#: 73685-21-9
产品: 2-[(2Z,4Z,6Z,8Z)-3,7-二甲基-9-(2,6,6-三甲基-1-环己烯-1-基)-2,4,6,8-壬四烯-1-亚基]-5-(4-甲氧基苯基)-1,3-环己烷二酮
暂时没有厂家供应该产品。
基本信息
产品名称 2-[(2Z,4Z,6Z,8Z)-3,7-二甲基-9-(2,6,6-三甲基-1-环己烯-1-基)-2,4,6,8-壬四烯-1-亚基]-5-(4-甲氧基苯基)-1,3-环己烷二酮
英文名 2-[(2Z,4Z,6Z,8Z)-3,7-Dimethyl-9-(2,6,6-trimethyl-1-cyclohexen-1-yl)-2,4,6,8-nonatetraen-1-ylidene]-5-(4-methoxyphenyl)-1,3-cyclohexanedione
别名 1,3-Cyclohexanedione, 2-(3,7-dimethyl-9-(2,6,6-trimethyl-1-cyclohexen-1-yl)-2,4,6,8-nonatetraenylidene)-5-(4-methoxyphenyl)-, (all-E)-; 2-(3,7-Dimethyl-9-(2,6,6-trimethyl-1-cyclohexen-1-yl)-2,4,6,8-nonatetraenylidene)-5-(4-methoxyphenyl)-1,3-cyclohexanedione (all-E)-; 2-Retinylidene-5-p-methoxyphenyl-1,3-cyclohexanedione, trans-
分子结构 CAS 登录号:73685-21-9, 2-[(2Z,4Z,6Z,8Z)-3,7-二甲基-9-(2,6,6-三甲基-1-环己烯-1-基)-2,4,6,8-壬四烯-1-亚基]-5-(4-甲氧基苯基)-1,3-环己烷二酮
分子式 C33H40O3
分子量 484.67
CAS 登录号 73685-21-9
分子行输入简码 SMILES O=C2/C(C(=O)CC(c1ccc(OC)cc1)C2)=C\C=C(/C=C\C=C(/C=C\C3=C(/C)CCCC3(C)C)C)C
国际化学标识码 InChI 1S/C33H40O3/c1-23(9-7-10-24(2)13-19-30-25(3)11-8-20-33(30,4)5)12-18-29-31(34)21-27(22-32(29)35)26-14-16-28(36-6)17-15-26/h7,9-10,12-19,27H,8,11,20-22H2,1-6H3/b9-7-,19-13-,23-12-,24-10-,29-18-
国际化学标识检索码 InChIKey KSHAYCLRFWTRIQ-WPJCTVLTSA-N
物理化学性质
密度 1.087g/cm3 (计算值)
沸点 661.6°C at 760 mmHg (计算值)
闪点 276.512°C (计算值)
市场分析报告
相关产品
(1R,4R,5S)-2,4-...  1,3-二甲基-8-异丙基-7...  1,3-二甲基-8-异丁基-1...  3-(10,10-二甲基-9(...  3,4-二甲基-9(10H)-...  (2E,4E,6E,8E)-3...  (2E,4E,6E,8E)-3...  (2Z,4E,6Z,8E)-3...  1-[3,7-二甲基-9-(2...  (2R,3E,5E,7E,9E...  (2E,4Z,6E,8E)-3...  N-[(2Z,4Z,6Z,8Z...  [3,7-二甲基-9-(2,6...  (2Z,4E,6E,8E)-3...  (2Z,4E,6Z,8E)-3...  (2Z,4E,6Z,8Z)-3...  (2S)-2-[[(2Z,4Z...  4-[[(2Z,4E,6Z,8...  2-[[(2Z,4E,6E,8...  2-[[(2E,4E,6E,8...