全球化学品在线数据库

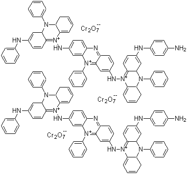
3-[[8-[(4-氨基苯基)氨基]-10-苯基吩嗪鎓-2-基]氨基]-5-苯基-7-[[10-苯基-8-(苯基氨基)吩嗪鎓-2-基]氨基]吩嗪鎓重铬酸盐
[CAS 75578-75-5]

供应商目录
超彩实业有限公司 中国
www.win-chemical.com
+86 (574) 8385-1061
+86 (574) 8708-3209
info@win-chemical.com
hhp13@hotmail.com
化学品生产商
chemBlink 标准供应商 (2010年起)
Alfa Chemistry 美国
www.alfa-chemistry.com
+1 (201) 478-8534
+1 (516) 927-0118
inquiry@alfa-chemistry.com
化学品供销商 (2012年起)
chemBlink 标准供应商 (2012年起)

基本信息
产品名称3-[[8-[(4-氨基苯基)氨基]-10-苯基吩嗪鎓-2-基]氨基]-5-苯基-7-[[10-苯基-8-(苯基氨基)吩嗪鎓-2-基]氨基]吩嗪鎓重铬酸盐
英文名3-[[8-[(4-Aminophenyl)amino]-10-phenylphenazinium-2-yl]amino]-5-phenyl-7-[[10-phenyl-8-(phenylamino)phenazinium-2-yl]amino]phenazinium salt with chromic acid
分子结构3-[[8-[(4-氨基苯基)氨基]-10-苯基吩嗪鎓-2-基]氨基]-5-苯基-7-[[10-苯基-8-(苯基氨基)吩嗪鎓-2-基]氨基]吩嗪鎓重铬酸盐分子结构 (CAS 75578-75-5)
分子式2(C66H48N11).3(Cr2O7)
分子量2638.29
CAS 登录号75578-75-5
市场分析报告
相关产品
2-(4-氨基苯基)-6-甲基...  2-(4-氨基苯基)-6-羟基...  2-(3-氨基苯基)-6-羟基...  2-(4-氨基苯基)-6-羟基...  2-(4-氨基苯基)-6-叔丁...  2-(4-氨基苯基)-6-硝基...  2-(4-氨基苯基)-7-磺基...  (1R,2S,3S,5S)-3...  5-(4'-氨基苯基)-8-氯...  9-(4'-氨基苯基)-9H-...  (3R)-3-[(2-氨基苯基...  2-[(3-氨基苯基)氨基]-...  2-[(4-氨基苯基)氨基]-...  1-[(3-氨基苯基)氨基]-...  2-[(4-氨基苯基)氨基]-...  2-[(4-氨基苯基)氨基]-...  1-[[2-[(2-氨基苯基)...  2-[(4-氨基苯基)氨基]-...  2-[(3-氨基苯基)氨基]苯...  2-[(4-氨基苯基)氨基]苯...