全球化学品在线数据库

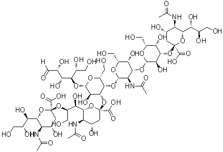
O-(N-乙酰基-alpha-神经胺酸基)-(2→8)-O-(N-乙酰基-alpha-神经胺酸基)-(2→3)-O-[O-(N-乙酰基-alpha-神经胺酸基)-(2→3)-O-beta-D-吡喃半乳糖基-(1→3)-2-(乙酰氨基)-2-脱氧-beta-D-吡喃半乳糖基-(1→4)]-O-beta-D-吡喃半乳糖基-(1→4)-D-葡萄糖
[CAS 75663-36-4]

供应商目录
卡博森斯化学科技 (苏州) 有限公司 中国
www.carbosynth.cn
+86 (512) 6260-5585
+86 (512) 6260-5576
sales@carbosynth.com
QQ Chat
化学品生产商 (2006年起)
chemBlink 标准供应商 (2016年起)

基本信息
产品名称O-(N-乙酰基-alpha-神经胺酸基)-(2→8)-O-(N-乙酰基-alpha-神经胺酸基)-(2→3)-O-[O-(N-乙酰基-alpha-神经胺酸基)-(2→3)-O-beta-D-吡喃半乳糖基-(1→3)-2-(乙酰氨基)-2-脱氧-beta-D-吡喃半乳糖基-(1→4)]-O-beta-D-吡喃半乳糖基-(1→4)-D-葡萄糖
英文名O-(N-Acetyl-alpha-neuraminosyl)-(2→8)-O-(N-acetyl-alpha-neuraminosyl)-(2→3)-O-[O-(N-acetyl-alpha-neuraminosyl)-(2→3)-O-beta-D-galactopyranosyl-(1→3)-2-(acetylamino)-2-deoxy-beta-D-galactopyranosyl-(1→4)]-O-beta-D-galactopyranosyl-(1→4)-D-glucose
分子结构O-(N-乙酰基-alpha-神经胺酸基)-(2→8)-O-(N-乙酰基-alpha-神经胺酸基)-(2→3)-O-[O-(N-乙酰基-alpha-神经胺酸基)-(2→3)-O-beta-D-吡喃半乳糖基-(1→3)-2-(乙酰氨基)-2-脱氧-beta-D-吡喃半乳糖基-(1→4)]-O-beta-D-吡喃半乳糖基-(1→4)-D-葡萄糖分子结构 (CAS 75663-36-4)
分子式C59H96N4O45
分子量1581.39
CAS 登录号75663-36-4
物理化学性质
密度1.77±0.1 g/cm3 (20 °C 760 Torr), 计算值*
*使用计算机软件 Advanced Chemistry Development (ACD/Labs) Software V11.02 (©1994-2016 ACD/Labs)
市场分析报告
相关产品
O-(N-乙酰基-alpha-...  (3aS,4S,6aR)-N-...  (3aS,4S,6aR)-N-...  (3aS,4S,6aR)-N-...  [3aS-(3aalpha,4...  O-(N-乙酰基-alpha-...  O-(N-乙酰基-alpha-...  (3aS,4S,6aR)-N-...  O-(N-乙酰基-alpha-...  (3aS,4S,6aR)-N-...  O-(N-乙酰基-alpha-...  O-(N-乙酰基-alpha-...  O-(N-乙酰基-alpha-...  O-(N-乙酰基-alpha-...  O-(N-乙酰基-alpha-...  4-乙酰基-alpha-溴氢化...  N-乙酰基氨苯砜  N-乙酰基安非他命  7-(乙酰基氨基)-1,2,4...  5-(乙酰基氨基)-1-羟基-...