全球化学品在线数据库

联四磷酸六乙基酯
[CAS 757-58-4]

供应商目录
CAS: 757-58-4
产品: 联四磷酸六乙基酯
暂时没有厂家供应
基本信息
产品分类有机原料 >> 无机酸酯
产品名称联四磷酸六乙基酯
英文名Hexaethyl tetraphosphate
别名Bladan; HET
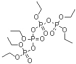
分子结构联四磷酸六乙基酯分子结构 (CAS 757-58-4)
分子式C12H30O13P4
分子量506.25
CAS 登录号757-58-4
EC 号码212-057-0
物理化学性质
溶解度微溶 (3.6 g/L) (25 °C), 计算值*
密度1.357 g/cm3 (25 °C)**
熔点-40 °C (approx)***
折射率1.4332 (589.3 nm 25 °C)**
*使用计算机软件 Advanced Chemistry Development (ACD/Labs) Software V11.02 (©1994-2017 ACD/Labs)
**Adler, Howard
***"Hazardous Substances Data Bank" data were obtained from the National Library of Medicine (US)
安全数据
是否危险化学品? 是,请看详情。

市场分析报告
相关产品
2,2'-联噻吩-5-甲醛  [2,2']联噻吩-5-基甲醇  2,2'-联噻吩-5-硼酸频哪...  2,3'-联噻吩-5-羧酸  2,2'-联噻吩e-5,5'-...  [2,2']联噻吩基-5,5'...  链三磺  连三硫酸  联三硒酰二氟  2,2'-联三亚苯  连四硫酸  连四硫酸二钠盐二水合物  连四硫酸钾盐  利阿诺定  C<sub>9-11</sub...  9,9'-联芴  联硝氯酚  莲心碱  莲心碱高氯酸盐  莲心碱高氯酸盐