| BOC Sciences | 美国 | |||
|---|---|---|---|---|
![]() | www.bocsci.com | |||
![]() | +1 (631) 485-4226 | |||
![]() | +1 (631) 614-7828 | |||
![]() | info@bocsci.com | |||
| 化学品生产商 | ||||
| chemBlink 标准供应商 (2010年起) | ||||
| 成都普瑞法科技开发有限公司 | 中国 | |||
|---|---|---|---|---|
![]() | www.phytopurify.com | |||
![]() | +86 (28) 8263-3860 8263-3987 | |||
![]() | +86 (28) 8263-3165 | |||
![]() | sales@biopurify.com biopurify@gmail.com | |||
![]() | QQ Chat | |||
![]() | Skype Chat | |||
| 化学品生产商 | ||||
| chemBlink 标准供应商 (2017年起) | ||||
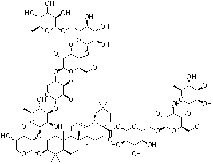
| 产品名称 | 威灵仙皂甙 AR |
|---|---|
| 英文名 | Clematichinenoside AR |
| 别名 | (3beta)-3-[(O-6-Deoxy-alpha-L-mannopyranosyl-(1→6)-O-beta-D-glucopyranosyl-(1→4)-O-beta-D-glucopyranosyl-(1→4)-O-beta-D-ribopyranosyl-(1→3)-O-6-deoxy-alpha-L-mannopyranosyl-(1→2)-alpha-L-arabinopyranosyl)oxy]-olean-12-en-28-oic acid O-6-deoxy-alpha-L-mannopyranosyl-(1→4)-O-beta-D-glucopyranosyl-(1→6)-beta-D-glucopyranosyl ester |
| 分子结构 | ![]() |
| 分子式 | C82H134O43 |
| 分子量 | 1807.92 |
| CAS 登录号 | 761425-93-8 |
| 密度 | 1.58±0.1 g/cm3 (20 °C 760 Torr), 计算值* |
|---|---|
| * | 使用计算机软件 Advanced Chemistry Development (ACD/Labs) Software V11.02 (©1994-2017 ACD/Labs) |
| 市场分析报告 |