全球化学品在线数据库

辛酰两性基二乙酸二钠盐
[CAS 7702-01-4]

供应商目录
Alfa Chemistry 美国
www.alfa-chemistry.com
+1 (201) 478-8534
+1 (516) 927-0118
inquiry@alfa-chemistry.com
化学品供销商 (2012年起)
chemBlink 标准供应商 (2012年起)

基本信息
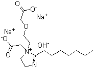
产品名称辛酰两性基二乙酸二钠盐
英文名Disodium capryloamphodiacetate
别名1-[2-(Carboxymethoxy)ethyl]-1-(carboxymethyl)-2-heptyl-4,5-dihydro-1H-imidazolium hydroxide disodium salt; Mackam 2CY75; Miranol J 2M
分子结构辛酰两性基二乙酸二钠盐分子结构 (CAS 7702-01-4)
分子式C16H27N2O5.OH.Na2
分子量390.38
CAS 登录号7702-01-4
EC 号码231-721-0
市场分析报告
相关产品
N-辛酰-高丝氨酸内酯  4-辛酰基-1-苯乙烯  辛酰胶原蛋白  1-辛酰基苯并三唑  4-辛酰基苯乙基乙酸酯  N-辛酰基-N-甲基葡萄糖胺  3-辛酰基硫代丙基三乙氧基硅烷  6-O-辛酰基-L-抗坏血酸  N-辛酰基吗啉  辛酰肼  (N-辛酰硫代)磷脂酰胆碱  辛酰硫脲  辛酰L-肉碱-d3氯化物  辛酰L-肉碱氯化物  辛酰氯  N-辛酰-N'-亚苄基肼  辛酰葡糖苷酸  N-辛酰葡糖基胺  N-辛酰柔红霉素  辛酰肉碱