| BOC Sciences | 美国 | |||
|---|---|---|---|---|
![]() | www.bocsci.com | |||
![]() | +1 (631) 485-4226 | |||
![]() | +1 (631) 614-7828 | |||
![]() | info@bocsci.com | |||
| 化学品生产商 | ||||
| chemBlink 标准供应商 (2010年起) | ||||
| AccuStandard Inc. | 美国 | |||
|---|---|---|---|---|
![]() | www.accustandard.com | |||
![]() | +1 (203) 786-5290 | |||
![]() | +1 (203) 786-5287 | |||
![]() | orders@accustandard.com | |||
| 化学品生产商 (1986年起) | ||||
| SelectLab Chemicals GmbH | 德国 | |||
|---|---|---|---|---|
![]() | www.selectlab.de | |||
![]() | +49 (2383) 919-350 919-351 | |||
![]() | +49 (2383) 919-354 | |||
![]() | info@selectlab.de | |||
| 化学品生产商 | ||||
| 产品分类 | 原料药 >> 循环系统用药 >> 防治心绞痛药 |
|---|---|
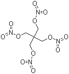
| 产品名称 | 季戊四醇四硝酸酯 |
| 英文名 | Pentaerythritol tetranitrate |
| 别名 | Pentaerithrityl tetranitrate; 2,2-Bis(hydroxymethyl)-1,3-propanediol tetranitrate |
| 分子结构 | ![]() |
| 分子式 | C5H8N4O12 |
| 分子量 | 316.14 |
| CAS 登录号 | 78-11-5 |
| EC 号码 | 201-084-3 |
| 危险品标志 | |||||||||||||||||
|---|---|---|---|---|---|---|---|---|---|---|---|---|---|---|---|---|---|
| 危害标签 | H201 说明 | ||||||||||||||||
| 危害分类 | |||||||||||||||||
| |||||||||||||||||
| SDS | 化学品安全技术说明书参考文本 | ||||||||||||||||
| 是否危险化学品? | 是,请看详情。 | ||||||||||||||||
| 市场分析报告 |