| 科邦特化工 (杭州) 有限公司 | 中国 | |||
|---|---|---|---|---|
![]() | www.capotchem.com | |||
![]() | +86 (571) 8558-6718 +86 13336195806 | |||
![]() | +86 (571) 8586-4795 | |||
![]() | capotchem@gmail.com sales@capotchem.com | |||
![]() | QQ Chat | |||
| 化学品生产商 | ||||
| chemBlink 标准供应商 (2006年起) | ||||
| 盐城市强中化工有限公司 | 中国 | |||
|---|---|---|---|---|
![]() | www.chinajzchemicals.com | |||
![]() | +86 (515) 8898-1987 +86 13365196093 +8613918567443 | |||
![]() | +86 (515) 8839-6093 | |||
![]() | richard.li_jzchem@263.net | |||
![]() | QQ Chat | |||
| 化学品生产商 (1989年起) | ||||
| chemBlink 标准供应商 (2011年起) | ||||
| 爱科生物制药有限公司 | 中国 | |||
|---|---|---|---|---|
![]() | www.activebiopharma.com | |||
![]() | +86 (571) 8161-2335 | |||
![]() | support@activebiopharma.com | |||
| 化学品生产商 | ||||
| chemBlink 标准供应商 (2012年起) | ||||
| 成都丽璟科技有限公司 | 中国 | |||
|---|---|---|---|---|
![]() | www.laurelsci.com | |||
![]() | +86 (28) 8798-3001 +86 18380459909 | |||
![]() | +86 (28) 8610-2331 | |||
![]() | sales@laurelsci.com | |||
![]() | QQ Chat | |||
| 化学品生产商 (2012年起) | ||||
| chemBlink 标准供应商 (2014年起) | ||||
| Eburon Organics bvba | 比利时 | |||
|---|---|---|---|---|
![]() | www.eburon-organics.com | |||
![]() | +32 (51) 335-068 | |||
![]() | +32 (51) 335-064 | |||
![]() | sales@eburon-organics.com | |||
| 化学品生产商 | ||||
| Anisyn, Inc. | 美国 | |||
|---|---|---|---|---|
![]() | www.anisyn.com | |||
![]() | +1 (269) 372-8736 | |||
![]() | +1 (269) 372-3397 | |||
![]() | sales@anisyn.com | |||
| 化学品生产商 | ||||
| 产品分类 | 化学试剂 >> 有机试剂 >> 芳烃 |
|---|---|
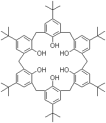
| 产品名称 | 4-叔丁基杯[6]芳烃 |
| 英文名 | 4-tert-Butylcalix[6]arene |
| 分子结构 | ![]() |
| 分子式 | C66H84O6 |
| 分子量 | 973.37 |
| CAS 登录号 | 78092-53-2 |
| EC 号码 | 676-852-8 |
| 熔点 | 300 °C |
|---|---|
| 防护标签 | S22;S24/25 说明 | ||||||||||||||||||||||||||||||||||||
|---|---|---|---|---|---|---|---|---|---|---|---|---|---|---|---|---|---|---|---|---|---|---|---|---|---|---|---|---|---|---|---|---|---|---|---|---|---|
| 危害分类 | |||||||||||||||||||||||||||||||||||||
| |||||||||||||||||||||||||||||||||||||
| SDS | 化学品安全技术说明书参考文本 | ||||||||||||||||||||||||||||||||||||
| 市场分析报告 |