全球化学品在线数据库

(11beta)-21-(乙酰氧基)-11,17-二羟基-孕甾-4-烯-3,20-二酮与4-(3-(4-丁氧基苯氧基)丙基)吗啉盐酸盐的混合物
[CAS 78457-00-8]

供应商
CAS#: 78457-00-8
产品: (11beta)-21-(乙酰氧基)-11,17-二羟基-孕甾-4-烯-3,20-二酮与4-(3-(4-丁氧基苯氧基)丙基)吗啉盐酸盐的混合物
暂时没有厂家供应该产品。
基本信息
产品名称 (11beta)-21-(乙酰氧基)-11,17-二羟基-孕甾-4-烯-3,20-二酮与4-(3-(4-丁氧基苯氧基)丙基)吗啉盐酸盐的混合物
英文名 (11beta)-21-(acetyloxy)-11,17-dihydroxy-Pregn-4-ene-3,20-dione mixt. with 4-(3-(4-butoxyphenoxy)propyl)morpholine hydrochloride
别名 4-[3-(4-Butoxyphenoxy)Propyl]Morpholine; [2-[(8S,9S,10R,11S,13S,14S,17R)-11,17-Dihydroxy-10,13-Dimethyl-3-Oxo-2,6,7,8,9,11,12,14,15,16-Decahydro-1H-Cyclopenta[A]Phenanthren-17-Yl]-2-Oxo-Ethyl] Acetate; Hydrochloride; Acetic Acid [2-[(8S,9S,10R,11S,13S,14S,17R)-11,17-Dihydroxy-10,13-Dimethyl-3-Oxo-2,6,7,8,9,11,12,14,15,16-Decahydro-1H-Cyclopenta[A]Phenanthren-17-Yl]-2-Oxoethyl] Ester; 4-[3-(4-Butoxyphenoxy)Propyl]Morpholine; Hydrochloride
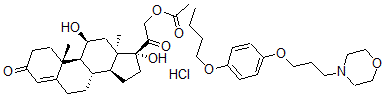
分子结构 CAS 登录号:78457-00-8, (11beta)-21-(乙酰氧基)-11,17-二羟基-孕甾-4-烯-3,20-二酮与4-(3-(4-丁氧基苯氧基)丙基)吗啉盐酸盐的混合物
分子式 C40H60ClNO9
分子量 734.37
CAS 登录号 78457-00-8
分子行输入简码 SMILES [C@]34([C@H]([C@H]2[C@@H]([C@@]1(C(=CC(=O)CC1)CC2)C)[C@@H](O)C3)CC[C@]4(O)C(=O)COC(=O)C)C.[H+].C(N5CCOCC5)CCOC6=CC=C(OCCCC)C=C6.[Cl-]
国际化学标识码 InChI 1S/C23H32O6.C17H27NO3.ClH/c1-13(24)29-12-19(27)23(28)9-7-17-16-5-4-14-10-15(25)6-8-21(14,2)20(16)18(26)11-22(17,23)3;1-2-3-12-20-16-5-7-17(8-6-16)21-13-4-9-18-10-14-19-15-11-18;/h10,16-18,20,26,28H,4-9,11-12H2,1-3H3;5-8H,2-4,9-15H2,1H3;1H/t16-,17-,18-,20+,21-,22-,23-;;/m0../s1
国际化学标识检索码 InChIKey XSXIALFLJUWMMT-NOQYICHDSA-N
物理化学性质
沸点 576.6°C at 760 mmHg (计算值)
闪点 196.2°C (计算值)
市场分析报告
相关产品
1-(乙酰氧基)-1,3-二氢...  5-(乙酰氧基)-1,3-恶噻...  (2R,5R)-5-(乙酰氧基...  (1S,4R,4aS,8aS)...  1-(乙酰氧基)-1,4-去环...  6-(乙酰氧基)-1,8,9,...  2-(乙酰氧基)-1-[(乙酰...  (1alpha,5aalpha...  (4S)-9-(乙酰氧基)-1...  (6beta,11beta)-...  (1beta,4beta,11...  (11alpha)-17-(乙...  (11beta,13alpha...  (11beta)-17-(乙酰...  (11beta)-21-(乙酰...  [2aR-(2aalpha,4...  5-(乙酰氧基)-12-甲基苯...  (3b,13a)-3-(乙酰氧...  N-[(1S,2R,3E,5E...  (1b,17a)-1-(乙酰氧...