全球化学品在线数据库

4,4'-氧基二(3-甲基苯磺酰肼)
[CAS 78844-79-8]

供应商
CAS#: 78844-79-8
产品: 4,4'-氧基二(3-甲基苯磺酰肼)
暂时没有厂家供应该产品。
基本信息
产品名称 4,4'-氧基二(3-甲基苯磺酰肼)
英文名 4,4'-Oxybis(3-methylbenzenesulfonohydrazide)
别名 2,2'-oxybis(toluene-5-sulphonohydrazide)
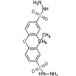
分子结构 CAS 登录号:78844-79-8, 4,4'-氧基二(3-甲基苯磺酰肼)
分子式 C14H18N4O5S2
分子量 386.45
CAS 登录号 78844-79-8
EINECS 登录号 278-995-8
分子行输入简码 SMILES NNS(=O)(=O)c2ccc(Oc1ccc(cc1C)S(=O)(=O)NN)c(C)c2
国际化学标识码 InChI 1S/C14H18N4O5S2/c1-9-7-11(24(19,20)17-15)3-5-13(9)23-14-6-4-12(8-10(14)2)25(21,22)18-16/h3-8,17-18H,15-16H2,1-2H3
国际化学标识检索码 InChIKey ATVQEZWXVATLEP-UHFFFAOYSA-N
物理化学性质
密度 1.441g/cm3 (计算值)
沸点 596.781°C at 760 mmHg (计算值)
闪点 314.722°C (计算值)
市场分析报告
相关产品
1,1'-氧基二(2-己醇)  3,3'-氧基二(2-氯-1-...  1,1'-氧基二(2-氯丙烷)  氧基二(2-羟基丙烷-3,1-...  1,1'-氧基二(2-戊醇)  1,1'-氧基二(3-(3-苯...  氧基二(3,1-丙烷二基)二壬...  1,1'-氧基二(3,4-二甲...  1,1'-氧基二(3,4-二氯...  1,1'-氧基二(3-苯氧基苯...  1,1'-氧基二(3-亚甲基环...  1,1'-氧基二(4-苯氧基苯...  2,2'-氧基二(4-十二烷基...  2,2'-氧基二(4-异丙基-...  1,1'-氧基二(4-异硫氰酸...  1,1'-氧基二(4-乙炔基苯...  4,4'-氧基二(苯磺酰胺)  4,4'-氧基二(苯磺酰基氨基...  4,4'-氧基二(苯基异氰酸酯...  1,1'-氧基二(癸基苯)