全球化学品在线数据库

Splenin
[CAS 79103-34-7]

供应商
CAS#: 79103-34-7
产品: Splenin
暂时没有厂家供应该产品。
基本信息
产品名称 Splenin
英文名 Splenin
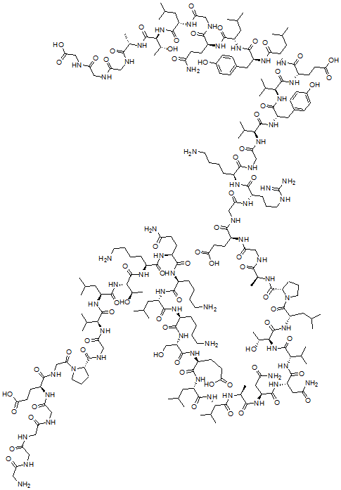
分子结构 CAS 登录号:79103-34-7, Splenin
分子式 C213H352N60O68
分子量 4841.49
CAS 登录号 79103-34-7
分子行输入简码 SMILES [C@@H]2(N(C(=O)[C@@H](NC(=O)[C@@H](NC(=O)[C@@H](NC(=O)[C@@H](NC(=O)[C@@H](NC(=O)[C@@H](NC(=O)[C@@H](NC(=O)[C@@H](NC(=O)[C@@H](NC(=O)[C@@H](NC(=O)[C@@H](NC(=O)[C@@H](NC(=O)[C@@H](NC(=O)[C@@H](NC(=O)[C@@H](NC(=O)[C@@H](NC(=O)[C@@H](NC(=O)[C@@H](NC(=O)CNC(=O)[C@H]1N(C(=O)CNC(=O)[C@@H](NC(=O)CNC(=O)CNC(=O)CNC(=O)CN)CCC(=O)O)CCC1)C(C)C)CC(C)C)[C@H](O)C)CCCCN)CCC(=O)N)CCCCN)CC(C)C)CCCCN)CO)CCC(=O)O)CC(C)C)C(C)C)C)CC(=O)N)CC(=O)N)C(C)C)[C@H](O)C)CC(C)C)CCC2)C(=O)N[C@H](C(=O)NCC(=O)N[C@H](C(=O)NCC(=O)N[C@H](C(=O)N[C@H](C(=O)NCC(=O)N[C@H](C(=O)N[C@H](C(=O)N[C@H](C(=O)N[C@H](C(=O)N[C@H](C(=O)N[C@H](C(=O)N[C@H](C(=O)N[C@H](C(=O)NCC(=O)N[C@H](C(=O)N[C@H](C(=O)N[C@H](C(=O)NCC(=O)NCC(=O)NCC(=O)O)C)[C@H](O)C)CC(C)C)CCC(=O)N)CC(C)C)CC3=CC=C(O)C=C3)CC(C)C)CCC(=O)O)C(C)C)CC4=CC=C(O)C=C4)C(C)C)CCCCN)CCCNC(=N)N)CCC(=O)O)C
国际化学标识码 InChI 1S/C213H352N60O68/c1-101(2)76-134(196(325)269-174(116(28)275)209(338)239-114(26)178(307)231-91-156(288)228-90-155(287)230-99-168(304)305)244-160(292)95-234-183(312)130(57-63-148(219)280)248-192(321)136(78-103(5)6)257-194(323)140(83-119-49-53-121(278)54-50-119)258-193(322)137(79-104(7)8)255-190(319)133(62-68-167(302)303)252-207(336)172(111(21)22)267-199(328)141(84-120-51-55-122(279)56-52-120)261-206(335)170(109(17)18)264-161(293)96-235-180(309)123(42-31-35-69-214)245-184(313)124(46-39-73-225-213(223)224)241-159(291)94-233-181(310)128(59-65-164(296)297)243-158(290)93-232-177(306)113(25)238-203(332)147-48-41-75-273(147)212(341)144(82-107(13)14)262-211(340)176(118(30)277)271-208(337)173(112(23)24)268-200(329)143(86-151(222)283)259-195(324)142(85-150(221)282)253-179(308)115(27)240-204(333)171(110(19)20)266-197(326)138(80-105(9)10)256-189(318)132(61-67-166(300)301)250-201(330)145(100-274)263-187(316)126(44-33-37-71-216)247-191(320)135(77-102(3)4)254-186(315)125(43-32-36-70-215)246-188(317)131(58-64-149(220)281)249-185(314)127(45-34-38-72-217)251-210(339)175(117(29)276)270-198(327)139(81-106(11)12)260-205(334)169(108(15)16)265-162(294)97-236-202(331)146-47-40-74-272(146)163(295)98-237-182(311)129(60-66-165(298)299)242-157(289)92-229-154(286)89-227-153(285)88-226-152(284)87-218/h49-56,101-118,123-147,169-176,274-279H,31-48,57-100,214-218H2,1-30H3,(H2,219,280)(H2,220,281)(H2,221,282)(H2,222,283)(H,226,284)(H,227,285)(H,228,288)(H,229,286)(H,230,287)(H,231,307)(H,232,306)(H,233,310)(H,234,312)(H,235,309)(H,236,331)(H,237,311)(H,238,332)(H,239,338)(H,240,333)(H,241,291)(H,242,289)(H,243,290)(H,244,292)(H,245,313)(H,246,317)(H,247,320)(H,248,321)(H,249,314)(H,250,330)(H,251,339)(H,252,336)(H,253,308)(H,254,315)(H,255,319)(H,256,318)(H,257,323)(H,258,322)(H,259,324)(H,260,334)(H,261,335)(H,262,340)(H,263,316)(H,264,293)(H,265,294)(H,266,326)(H,267,328)(H,268,329)(H,269,325)(H,270,327)(H,271,337)(H,296,297)(H,298,299)(H,300,301)(H,302,303)(H,304,305)(H4,223,224,225)/t113-,114-,115-,116+,117+,118+,123-,124-,125-,126-,127-,128-,129-,130-,131-,132-,133-,134-,135-,136-,137-,138-,139-,140-,141-,142-,143-,144-,145-,146-,147-,169-,170-,171-,172-,173-,174-,175-,176-/m0/s1
国际化学标识检索码 InChIKey MLKWIQODPVLVLN-SHVFRELUSA-N
市场分析报告
相关产品
SPI-112Me  Spilanthes acme...  Spiroakyroside  Spirocardin A  Spirocardin B  Spirosendan  Spirotryprostat...  Spisulosine  SPK-601; 二硫代碳酸 ...  Splendoside  Spongiatriol  SPP-301; Avosen...  Spurr Resin  SQ 109  SQ 23377  SR 1078; N-[4-[...  SR 18292  SR 35021; N-[2-...  SR 42128  SR 43845