基本信息
| 产品名称 |
1-硬脂酰-2-(9,10-环氧硬脂酰)磷脂酰胆碱 |
| 英文名 |
1-Stearoyl-2-(9,10-Epoxystearoyl)Phosphatidylcholine |
| 别名 |
[(2R)-3-Octadecanoyloxy-2-[8-[(2R,3S)-3-Octyloxiran-2-Yl]Octanoyloxy]Propyl] 2-Trimethylammonioethyl Phosphate; [(2R)-2-[8-[(2R,3S)-3-Octyl-2-Oxiranyl]-1-Oxooctoxy]-3-(1-Oxooctadecoxy)Propyl] 2-Trimethylammonioethyl Phosphate; [(2R)-2-[8-[(2R,3S)-3-Octyloxiran-2-Yl]Octanoyloxy]-3-Stearoyloxy-Propyl] 2-Trimethylammonioethyl Phosphate |
|
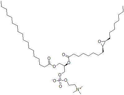
| 分子结构 |
 |
| 分子式 |
C44H86NO9P |
| 分子量 |
804.14 |
| CAS 登录号 |
80362-02-3 |
| 分子行输入简码 SMILES |
[C@@H]1(O[C@H]1CCCCCCCC)CCCCCCCC(O[C@@H](CO[P](OCC[N+](C)(C)C)([O-])=O)COC(=O)CCCCCCCCCCCCCCCCC)=O |
| 国际化学标识码 InChI |
1S/C44H86NO9P/c1-6-8-10-12-14-15-16-17-18-19-20-21-22-26-30-34-43(46)50-38-40(39-52-55(48,49)51-37-36-45(3,4)5)53-44(47)35-31-27-23-25-29-33-42-41(54-42)32-28-24-13-11-9-7-2/h40-42H,6-39H2,1-5H3/t40-,41+,42-/m1/s1 |
| 国际化学标识检索码 InChIKey |
VUBYHMWLLMZONC-BMBFPDSCSA-N |
|