全球化学品在线数据库

4-(3,3-二甲基双环[2.2.1]庚-2-基)-2-乙基-2-丁烯-1-醇
[CAS 85392-41-2]

供应商
CAS#: 85392-41-2
产品: 4-(3,3-二甲基双环[2.2.1]庚-2-基)-2-乙基-2-丁烯-1-醇
暂时没有厂家供应该产品。
基本信息
产品名称 4-(3,3-二甲基双环[2.2.1]庚-2-基)-2-乙基-2-丁烯-1-醇
英文名 4-(3,3-Dimethylbicyclo[2.2.1]hept-2-yl)-2-ethyl-2-buten-1-ol
别名 4-(3,3-dimethylbicyclo[2.2.1]hept-2-yl)-2-ethyl-2-buten-1-ol
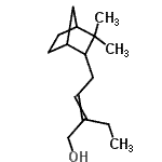
分子结构 CAS 登录号:85392-41-2, 4-(3,3-二甲基双环[2.2.1]庚-2-基)-2-乙基-2-丁烯-1-醇
分子式 C15H26O
分子量 222.37
CAS 登录号 85392-41-2
EINECS 登录号 286-900-6
分子行输入简码 SMILES CC2(C)C1CCC(C1)C2CC=C(CC)CO
国际化学标识码 InChI 1S/C15H26O/c1-4-11(10-16)5-8-14-12-6-7-13(9-12)15(14,2)3/h5,12-14,16H,4,6-10H2,1-3H3
国际化学标识检索码 InChIKey IEHRSGLWAAYRDG-UHFFFAOYSA-N
物理化学性质
密度 0.934g/cm3 (计算值)
沸点 305.673°C at 760 mmHg (计算值)
闪点 141.121°C (计算值)
市场分析报告
相关产品
(1S)-5,5-二甲基双环[...  (1R)-5,5-二甲基双环[...  2-(7,7-二甲基双环[2....  5,6-二甲基双环[2.2.1...  5,6-二甲基双环[2.2.1...  (3,3-二甲基双环[2.2....  1-(3,3-二甲基双环[2....  1-(3,3-二甲基双环[2....  3-(3,3-二甲基双环[2....  4-(3,3-二甲基双环[2....  4-(3,3-二甲基双环[2....  4-(3,3-二甲基双环[2....  4-(3,3-二甲基双环[2....  2-(3,3-二甲基双环[2....  5-(3,3-二甲基双环[2....  3-(3,3-二甲基双环[2....  3-(3,3-二甲基双环[2....  3-(3,3-二甲基双环[2....  3-(3,3-二甲基双环[2....  (2E)-3-(3,3-二甲基...