全球化学品在线数据库

2-{4-[4-(三氟甲基)苯基]-1-哌嗪基}乙基2-{[7-(三氟甲基)-4-喹啉基]氨基}苯甲酸酯
[CAS 85702-69-8]

供应商
CAS#: 85702-69-8
产品: 2-{4-[4-(三氟甲基)苯基]-1-哌嗪基}乙基2-{[7-(三氟甲基)-4-喹啉基]氨基}苯甲酸酯
暂时没有厂家供应该产品。
基本信息
产品名称 2-{4-[4-(三氟甲基)苯基]-1-哌嗪基}乙基2-{[7-(三氟甲基)-4-喹啉基]氨基}苯甲酸酯
英文名 2-{4-[4-(Trifluoromethyl)phenyl]-1-piperazinyl}ethyl 2-{[7-(trifluoromethyl)-4-quinolinyl]amino}benzoate
别名 2-[4-(α,α,α-trifluoro-p-tolyl)-1-piperazinyl]ethyl o-[[7-(trifluoromethyl)-4-quinolyl]amino]benzoate
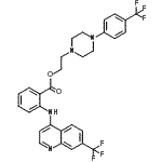
分子结构 CAS 登录号:85702-69-8, 2-{4-[4-(三氟甲基)苯基]-1-哌嗪基}乙基2-{[7-(三氟甲基)-4-喹啉基]氨基}苯甲酸酯
分子式 C30H26F6N4O2
分子量 588.54
CAS 登录号 85702-69-8
EINECS 登录号 288-259-8
分子行输入简码 SMILES FC(F)(F)c1ccc5c(c1)nccc5Nc2ccccc2C(=O)OCCN3CCN(CC3)c4ccc(cc4)C(F)(F)F
国际化学标识码 InChI 1S/C30H26F6N4O2/c31-29(32,33)20-5-8-22(9-6-20)40-15-13-39(14-16-40)17-18-42-28(41)24-3-1-2-4-25(24)38-26-11-12-37-27-19-21(30(34,35)36)7-10-23(26)27/h1-12,19H,13-18H2,(H,37,38)
国际化学标识检索码 InChIKey WRYWRWYLEHDHGS-UHFFFAOYSA-N
物理化学性质
密度 1.359g/cm3 (计算值)
沸点 650.051°C at 760 mmHg (计算值)
闪点 346.939°C (计算值)
市场分析报告
相关产品
1-[3-(三氟甲基)苯基]-...  1-[4-(三氟甲基)苯基]-...  2-[4-(三氟甲基)苯基]-...  2-{2-[3-(三氟甲基)苯...  [[[2-[3-(三氟甲基)苯...  4-[4-[3-(三氟甲基)苯...  6-[4-[3-(三氟甲基)苯...  4-[2-[4-[3-(三氟甲...  1-(3-{4-[3-(三氟甲...  2-{4-[3-(三氟甲基)苯...  4-[2-(三氟甲基)苯基]-...  4-[3-(三氟甲基)苯基]-...  2-[4-(三氟甲基)苯基]-...  6-[4-(三氟甲基)苯基]-...  6-[3-(三氟甲基)苯基]-...  6-[2-(三氟甲基)苯基]-...  6-[4-(三氟甲基)苯基]-...  1-[4-(三氟甲基)苯基]-...  2-[4-(三氟甲基)苯基]-...  2-[4-(三氟甲基)苯基]-...