全球化学品在线数据库

罗汉果甙 I-E1
[CAS 88901-39-7]

供应商目录
成都普瑞法科技开发有限公司 中国
www.phytopurify.com
+86 (28) 8263-3860
8263-3987
+86 (28) 8263-3165
sales@biopurify.com
biopurify@gmail.com
QQ Chat
Skype Chat
化学品生产商
chemBlink 标准供应商 (2017年起)

基本信息
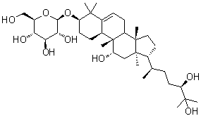
产品名称罗汉果甙 I-E1
英文名Mogroside I-E1
别名(3beta,9beta,10alpha,11alpha,24R)-11,24,25-Trihydroxy-9-methyl-19-norlanost-5-en-3-yl beta-D-glucopyranoside
分子结构罗汉果甙 I-E1分子结构 (CAS 88901-39-7)
分子式C36H62O9
分子量638.87
CAS 登录号88901-39-7
物理化学性质
溶解度不溶 (5.7E-4 g/L) (25 °C), 计算值*
密度1.23±0.1 g/cm3 (20 °C 760 Torr), 计算值*
*使用计算机软件 Advanced Chemistry Development (ACD/Labs) Software V11.02 (©1994-2016 ACD/Labs)
市场分析报告
相关产品
罗氟司特N-氧化物  罗氟烷  落干酸  罗格列酮  罗格列酮钠  螺庚恶烷  螺海因氮丙啶  (-)-罗汉柏烯  罗汉果醇  罗汉果甙 I-A1  罗汉果甙 II B  罗汉果甙 IIA  罗汉果甙 II-A1  罗汉果甙 II-E  罗汉果甙 III  罗汉果甙 III-A2  罗汉果甙 VI  罗汉果黄素  罗汉果酸 A  罗汉果酸乙 B