全球化学品在线数据库

胍真菌素 B
[CAS 94116-20-8]

供应商
CAS#: 94116-20-8
产品: 胍真菌素 B
暂时没有厂家供应该产品。
基本信息
产品名称 胍真菌素 B
英文名 Guanidylfungin B
别名 3-[[(13E,23E)-19-[(E)-9-Guanidino-1,3-Dimethyl-Non-3-Enyl]-1,3,7,9,11,25,27,29,31,35,36-Undecahydroxy-4,8,12,16,20,24,26-Heptamethyl-17-Oxo-18,37-Dioxabicyclo[31.3.1]Heptatriaconta-13,23-Dien-15-Yl]Oxy]-3-Oxo-Propanoic Acid; 3-[[(13E,23E)-19-[(E)-9-Guanidi
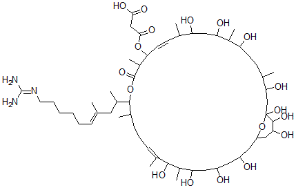
分子结构 CAS 登录号:94116-20-8, 胍真菌素 B
分子式 C57H101N3O18
分子量 1116.43
CAS 登录号 94116-20-8
分子行输入简码 SMILES C(C(C2OC(=O)C(C(OC(=O)CC(O)=O)/C=C/C(C(O)CC(O)C(C(O)CCC(C(O)CC1(OC(CC(O)C1O)CC(O)CC(O)CC(O)C(C(O)C(=C/CCC2C)/C)C)O)C)C)C)C)C)\C(=C\CCCCCN=C(N)N)C
国际化学标识码 InChI 1S/C57H101N3O18/c1-31(15-12-10-11-13-22-60-56(58)59)23-36(6)53-35(5)17-14-16-34(4)52(72)38(8)45(65)26-41(62)24-40(61)25-42-27-47(67)54(73)57(75,78-42)30-48(68)33(3)18-20-43(63)37(7)46(66)28-44(64)32(2)19-21-49(39(9)55(74)77-53)76-51(71)29-50(69)70/h15-16,
国际化学标识检索码 InChIKey DVNBCGGJVDKDQA-UCNQLLDXSA-N
物理化学性质
密度 1.293g/cm3 (计算值)
沸点 1192.961°C at 760 mmHg (计算值)
闪点 675.279°C (计算值)
市场分析报告
相关产品
胍乙啶  胍乙啶 N-氧化物  胍乙啶半硫酸盐  胍乙啶单硫酸盐  胍硬脂酸盐  胍乙酸; 胍基乙酸; 乙酸胍  Guayulin D  Guayulin-C  胍与亚硝基丙二腈的化合物(1:...  胍真菌素 A  瓜子金皂苷 V  瓜子金皂苷 XXXII  瓜子金皂苷己  瓜子金皂苷XXVIII  瓜子金皂苷乙  寡子菌素  古巴油  谷丙转氨酶  谷草转氨酶  鼓槌石斛素