全球化学品在线数据库

Corynebactin
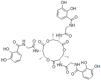
[CAS 95536-41-7]

供应商
CAS#: 95536-41-7
产品: Corynebactin
暂时没有厂家供应该产品。
基本信息
产品名称 Corynebactin
英文名 Corynebactin
别名 N-[2-[[(2R,3S,6R,7S,10R,11S)-7,11-Bis[[2-[(2,3-Dihydroxybenzoyl)Amino]Acetyl]Amino]-2,6,10-Trimethyl-4,8,12-Trioxo-1,5,9-Trioxacyclododec-3-Yl]Amino]-2-Oxo-Ethyl]-2,3-Dihydroxy-Benzamide; N-[2-[[(2R,3S,6R,7S,10R,11S)-7,11-Bis[[2-[[(2,3-Dihydroxyphenyl)-Oxo
分子结构 CAS 登录号:95536-41-7, Corynebactin
分子式 C39H42N6O18
分子量 882.79
CAS 登录号 95536-41-7
分子行输入简码 SMILES [C@@H]4(NC(=O)CNC(=O)C1=CC=CC(=C1O)O)C(O[C@@H]([C@H](NC(=O)CNC(=O)C2=CC=CC(=C2O)O)C(O[C@@H]([C@H](NC(=O)CNC(=O)C3=C(O)C(=CC=C3)O)C(O[C@@H]4C)=O)C)=O)C)=O
国际化学标识码 InChI 1S/C39H42N6O18/c1-16-28(43-25(49)13-40-34(55)19-7-4-10-22(46)31(19)52)37(58)62-18(3)30(45-27(51)15-42-36(57)21-9-6-12-24(48)33(21)54)39(60)63-17(2)29(38(59)61-16)44-26(50)14-41-35(56)20-8-5-11-23(47)32(20)53/h4-12,16-18,28-30,46-48,52-54H,13-15H2,1-3H3,(H
国际化学标识检索码 InChIKey RCQTVEFBFUNTGM-BDVHUIKKSA-N
市场分析报告
相关产品
Coronalolic aci...  Coronalolide  Coronalolide me...  Cororubicin  Corticatic Acid...  Corydamine  Corylifol A; 3-...  Corylifol B  Corylifol C  Corymine  Cotyledoside  Coulteropine  Coumaraz-2-one  Covalitin  Cowaxanthone B  CP 154526; N-丁基...  CP 373420; 2-[[...  CP 456773  CP 466722; 1-(6...  CP 640186