Online Database of Chemicals from Around the World

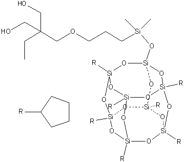
1-[3-(1,3-Propanediol-2-ethyl-2-methyloxy)propyldimethylsiloxy]-3,5,7,9,11,13,15-heptacyclopentyloctasilsesquioxane
[CAS 268747-51-9]

List of Suppliers
Alfa Chemistry USA
www.alfa-chemistry.com
+1 (201) 478-8534
+1 (516) 927-0118
inquiry@alfa-chemistry.com
Chemical distributor since 2012
chemBlink Standard supplier since 2012

Identification
Name1-[3-(1,3-Propanediol-2-ethyl-2-methyloxy)propyldimethylsiloxy]-3,5,7,9,11,13,15-heptacyclopentyloctasilsesquioxane
Molecular Structure1-[3-(1,3-Propanediol-2-ethyl-2-methyloxy)propyldimethylsiloxy]-3,5,7,9,11,13,15-heptacyclopentyloctasilsesquioxane molecular structure (CAS 268747-51-9)
Molecular FormulaC46H88O16Si9
Molecular Weight1149.95
CAS Registry Number268747-51-9
Properties
Density1.21±0.1 g/cm3 (20 °C 760 Torr), Calc.*
*Calculated using Advanced Chemistry Development (ACD/Labs) Software V11.02 (©1994-2015 ACD/Labs)
Market Analysis Reports
Related Products
1,2-Propanediol...  1,3-Propanediol...  1,3-Propanediol...  1,3-Propanediol...  1,2-Propanediol...  1,2-Propanediol...  1,3-Propanediol...  (R)-(+)-1,2-Pro...  1,3-Propanediol...  1,3-Propanediol...  1,3-Propanediol...  1,3-Propanediol...  1,2-Propanediol...  (S)-1,2-Propane...  1,3-Propanediol...  1,3-Propanediol...  1,3-Propanediol...  1,3-Propanediol...  Propane-1,2-Dio...  1,2-Propanediol...