全球化学品在线数据库

O-3,6-脱水-alpha-D-吡喃半乳糖基-(1→3)-O-4-O-磺基-beta-D-吡喃半乳糖基-(1→4)-O-3,6-脱水-alpha-D-吡喃半乳糖基-(1→3)-D-半乳糖 4-(硫酸氢酯)二钠盐
[CAS 108347-92-8]

供应商目录
卡博森斯化学科技 (苏州) 有限公司 中国
www.carbosynth.cn
+86 (512) 6260-5585
+86 (512) 6260-5576
sales@carbosynth.com
QQ Chat
化学品生产商 (2006年起)
chemBlink 标准供应商 (2016年起)

基本信息
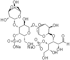
产品名称O-3,6-脱水-alpha-D-吡喃半乳糖基-(1→3)-O-4-O-磺基-beta-D-吡喃半乳糖基-(1→4)-O-3,6-脱水-alpha-D-吡喃半乳糖基-(1→3)-D-半乳糖 4-(硫酸氢酯)二钠盐
英文名O-3,6-Anhydro-alpha-D-galactopyranosyl-(1→3)-O-4-O-sulfo-beta-D-galactopyranosyl-(1→4)-O-3,6-anhydro-alpha-D-galactopyranosyl-(1→3)-D-galactose 4-(hydrogen sulfate) disodium salt
分子结构O-3,6-脱水-alpha-D-吡喃半乳糖基-(1→3)-O-4-O-磺基-beta-D-吡喃半乳糖基-(1→4)-O-3,6-脱水-alpha-D-吡喃半乳糖基-(1→3)-D-半乳糖 4-(硫酸氢酯)二钠盐分子结构 (CAS 108347-92-8)
分子式C24H36O25S2Na2
分子量834.64
CAS 登录号108347-92-8
安全数据
SDS化学品安全技术说明书参考文本
市场分析报告
相关产品
2,5-脱水-6-叠氮基-4,...  (1S)-1,5-脱水-6-脱...  1,5-脱水-6-脱氧-6-硝...  1,2-脱水-6-溴半乳糖醇  2,6-脱水-7,8-二脱氧-...  2,6-脱水-7,8-二脱氧-...  2,6-脱水-7,8-二脱氧-...  2,6-脱水-7-脱氧-7-[...  脱水阿比特龙  [O-3,6-脱水-alpha...  O-3,6-脱水-alpha-...  O-3,6-脱水-alpha-...  O-3,6-脱水-alpha-...  3-O-(3,6-脱水-alp...  3-O-(3,6-脱水-alp...  1,5-脱水-alpha-D-...  2,7-脱水-beta-D-A...  1,6-脱水-beta-D-半...  1,6-脱水-beta-D-吡...  1,6-脱水-beta-D-吡...