全球化学品在线数据库

O-3,6-脱水-alpha-D-吡喃半乳糖基-(1→3)-O-4-O-磺基-beta-D-吡喃半乳糖基-(1→4)-O-3,6-脱水-alpha-D-吡喃半乳糖基-(1→3)-O-4-O-磺基-beta-D-吡喃半乳糖基-(1→4)-O-3,6-脱水-alpha-D-吡喃半乳糖基-(1→3)-O-4-O-磺基-beta-D-吡喃半乳糖基-(1→4)-O-3,6-脱水-alpha-D-吡喃半乳糖基-(1→3)-O-4-O-磺基-beta-D-吡喃半乳糖基-(1→4)-O-3,6-脱水-alpha-D-吡喃半乳糖基-(1→3)-D-半乳糖 4-(硫酸氢酯)五钠盐
[CAS 133628-75-8]

供应商目录
卡博森斯化学科技 (苏州) 有限公司 中国
www.carbosynth.cn
+86 (512) 6260-5585
+86 (512) 6260-5576
sales@carbosynth.com
QQ Chat
化学品生产商 (2006年起)
chemBlink 标准供应商 (2016年起)

基本信息
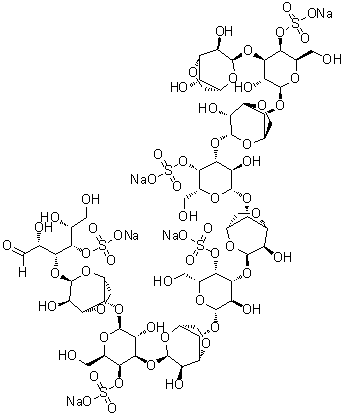
产品名称O-3,6-脱水-alpha-D-吡喃半乳糖基-(1→3)-O-4-O-磺基-beta-D-吡喃半乳糖基-(1→4)-O-3,6-脱水-alpha-D-吡喃半乳糖基-(1→3)-O-4-O-磺基-beta-D-吡喃半乳糖基-(1→4)-O-3,6-脱水-alpha-D-吡喃半乳糖基-(1→3)-O-4-O-磺基-beta-D-吡喃半乳糖基-(1→4)-O-3,6-脱水-alpha-D-吡喃半乳糖基-(1→3)-O-4-O-磺基-beta-D-吡喃半乳糖基-(1→4)-O-3,6-脱水-alpha-D-吡喃半乳糖基-(1→3)-D-半乳糖 4-(硫酸氢酯)五钠盐
英文名O-3,6-Anhydro-alpha-D-galactopyranosyl-(1→3)-O-4-O-sulfo-beta-D-galactopyranosyl-(1→4)-O-3,6-anhydro-alpha-D-galactopyranosyl-(1→3)-O-4-O-sulfo-beta-D-galactopyranosyl-(1→4)-O-3,6-anhydro-alpha-D-galactopyranosyl-(1→3)-O-4-O-sulfo-beta-D-galactopyranosyl-(1→4)-O-3,6-anhydro-alpha-D-galactopyranosyl-(1→3)-O-4-O-sulfo-beta-D-galactopyranosyl-(1→4)-O-3,6-anhydro-alpha-D-galactopyranosyl-(1→3)-D-galactose 4-(hydrogen sulfate) pentasodium salt
分子结构O-3,6-脱水-alpha-D-吡喃半乳糖基-(1→3)-O-4-O-磺基-beta-D-吡喃半乳糖基-(1→4)-O-3,6-脱水-alpha-D-吡喃半乳糖基-(1→3)-O-4-O-磺基-beta-D-吡喃半乳糖基-(1→4)-O-3,6-脱水-alpha-D-吡喃半乳糖基-(1→3)-O-4-O-磺基-beta-D-吡喃半乳糖基-(1→4)-O-3,6-脱水-alpha-D-吡喃半乳糖基-(1→3)-O-4-O-磺基-beta-D-吡喃半乳糖基-(1→4)-O-3,6-脱水-alpha-D-吡喃半乳糖基-(1→3)-D-半乳糖 4-(硫酸氢酯)五钠盐分子结构 (CAS 133628-75-8)
分子式C60H87O61S5Na5
分子量2059.58
CAS 登录号133628-75-8
市场分析报告
相关产品
1,5-脱水-6-脱氧-6-硝...  1,2-脱水-6-溴半乳糖醇  2,6-脱水-7,8-二脱氧-...  2,6-脱水-7,8-二脱氧-...  2,6-脱水-7,8-二脱氧-...  2,6-脱水-7-脱氧-7-[...  脱水阿比特龙  [O-3,6-脱水-alpha...  O-3,6-脱水-alpha-...  O-3,6-脱水-alpha-...  O-3,6-脱水-alpha-...  3-O-(3,6-脱水-alp...  3-O-(3,6-脱水-alp...  1,5-脱水-alpha-D-...  2,7-脱水-beta-D-A...  1,6-脱水-beta-D-半...  1,6-脱水-beta-D-吡...  1,6-脱水-beta-D-吡...  1,6-脱水-beta-D-吡...  1,6-脱水-beta-D-吡...