全球化学品在线数据库

2-[2-[2-[3-[[4-[[[5-(6-氨基嘌呤-9-基)-4-羟基-3-膦酰氧基四氢呋喃-2-基]甲氧基-羟基磷酰]氧基-羟基磷酰]氧基-2-羟基-3,3-二甲基丁酰基]氨基]丙酰氨基]乙硫基]-2-氧代乙基]-2-羟基丁二酸
[CAS 3131-26-8]

供应商
CAS#: 3131-26-8
产品: 2-[2-[2-[3-[[4-[[[5-(6-氨基嘌呤-9-基)-4-羟基-3-膦酰氧基四氢呋喃-2-基]甲氧基-羟基磷酰]氧基-羟基磷酰]氧基-2-羟基-3,3-二甲基丁酰基]氨基]丙酰氨基]乙硫基]-2-氧代乙基]-2-羟基丁二酸
暂时没有厂家供应该产品。
基本信息
产品名称 2-[2-[2-[3-[[4-[[[5-(6-氨基嘌呤-9-基)-4-羟基-3-膦酰氧基四氢呋喃-2-基]甲氧基-羟基磷酰]氧基-羟基磷酰]氧基-2-羟基-3,3-二甲基丁酰基]氨基]丙酰氨基]乙硫基]-2-氧代乙基]-2-羟基丁二酸
英文名 2-[2-[2-[3-[[4-[[[5-(6-Aminopurin-9-Yl)-4-Hydroxy-3-Phosphonooxyoxolan-2-Yl]Methoxy-Hydroxyphosphoryl]Oxy-Hydroxyphosphoryl]Oxy-2-Hydroxy-3,3-Dimethylbutanoyl]Amino]Propanoylamino]Ethylsulfanyl]-2-Oxoethyl]-2-Hydroxybutanedioic Acid
别名 2-[2-[2-[3-[[4-[[[5-(6-Aminopurin-9-Yl)-4-Hydroxy-3-Phosphonooxy-Tetrahydrofuran-2-Yl]Methoxy-Hydroxy-Phosphoryl]Oxy-Hydroxy-Phosphoryl]Oxy-2-Hydroxy-3,3-Dimethyl-Butanoyl]Amino]Propanoylamino]Ethylsulfanyl]-2-Oxo-Ethyl]-2-Hydroxy-Butanedioic Acid; 2-[2-[2-[[3-[[4-[[[5-(6-Amino-9-Purinyl)-4-Hydroxy-3-Phosphonooxy-2-Tetrahydrofuranyl]Methoxy-Hydroxyphosphoryl]Oxy-Hydroxyphosphoryl]Oxy-2-Hydroxy-3,3-Dimethyl-1-Oxobutyl]Amino]-1-Oxopropyl]Amino]Ethylthio]-2-Oxoethyl]-2-Hydroxybutanedioic Acid; 2-[2-[2-[3-[[4-[[[5-(6-Aminopurin-9-Yl)-4-Hydroxy-3-Phosphonooxy-Tetrahydrofuran-2-Yl]Methoxy-Hydroxy-Phosphoryl]Oxy-Hydroxy-Phosphoryl]Oxy-2-Hydroxy-3,3-Dimethyl-Butanoyl]Amino]Propanoylamino]Ethylthio]-2-Keto-Ethyl]-2-Hydroxy-Succinic Acid
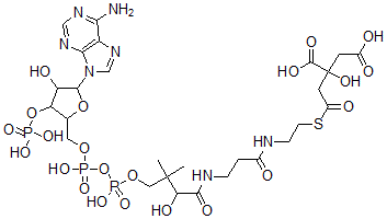
分子结构 CAS 登录号:3131-26-8, 2-[2-[2-[3-[[4-[[[5-(6-氨基嘌呤-9-基)-4-羟基-3-膦酰氧基四氢呋喃-2-基]甲氧基-羟基磷酰]氧基-羟基磷酰]氧基-2-羟基-3,3-二甲基丁酰基]氨基]丙酰氨基]乙硫基]-2-氧代乙基]-2-羟基丁二酸
分子式 C27H42N7O22P3S
分子量 941.64
CAS 登录号 3131-26-8
分子行输入简码 SMILES C1=NC2=C(C(=N1)N)N=C[N]2C3C(O)C(O[P](=O)(O)O)C(O3)CO[P](O[P](OCC(C)(C)C(C(NCCC(NCCSC(CC(CC(O)=O)(O)C(O)=O)=O)=O)=O)O)(=O)O)(=O)O
国际化学标识码 InChI 1S/C27H42N7O22P3S/c1-26(2,20(40)23(41)30-4-3-14(35)29-5-6-60-16(38)8-27(44,25(42)43)7-15(36)37)10-53-59(50,51)56-58(48,49)52-9-13-19(55-57(45,46)47)18(39)24(54-13)34-12-33-17-21(28)31-11-32-22(17)34/h11-13,18-20,24,39-40,44H,3-10H2,1-2H3,(H,29,35)(H,30,41)(H,36,37)(H,42,43)(H,48,49)(H,50,51)(H2,28,31,32)(H2,45,46,47)
国际化学标识检索码 InChIKey IHVFHZGGMJDGGZ-UHFFFAOYSA-N
物理化学性质
密度 1.955g/cm3 (计算值)
参考文献
(1) van der Kamp Marc W.. High-level QM/MM modelling predicts an arginine as the acid in the condensation reaction catalysed by citrate synthase, Chemical Communications, 2008
市场分析报告
相关产品
S-[2-[3-[[(2R)-...  S-[2-[3-[[4-[[[...  S-[2-[3-[[(2R)-...  S-[2-[3-[[(2R)-...  S-[2-[3-[[4-[[[...  S-[2-[3-[[(2R)-...  S-[2-[3-[[(2R)-...  S-[2-[3-[[(2R)-...  S-[2-[3-[[4-[[[...  S-[2-[3-[[4-[[[...  5-[2-[3-[[(2R)-...  5-[2-[3-[[4-[[[...  5-[2-[3-[[(2R)-...  4-[2-[2-[3-[[(2...  4-[2-[3-[[4-[[[...  [(2R,3R,4R,5R)-...  [(2R,3R,4R,5R)-...  [(2R,3R,4R,5R)-...  (2R,3R,4S,5R)-5...  [(2R,3R,4R,5R)-...