全球化学品在线数据库

S-[2-[3-[[(2R)-4-[[[(2R,3S,4R,5R)-5-(6-氨基嘌呤-9-基)-4-羟基-3-膦酰氧基四氢呋喃-2-基]甲氧基-羟基磷酰]氧基-羟基磷酰]氧基-2-羟基-3,3-二甲基丁酰基]氨基]丙酰氨基]乙基]3-呋喃-2-基硫代丙酸酯
[CAS 75368-14-8]

供应商
CAS#: 75368-14-8
产品: S-[2-[3-[[(2R)-4-[[[(2R,3S,4R,5R)-5-(6-氨基嘌呤-9-基)-4-羟基-3-膦酰氧基四氢呋喃-2-基]甲氧基-羟基磷酰]氧基-羟基磷酰]氧基-2-羟基-3,3-二甲基丁酰基]氨基]丙酰氨基]乙基]3-呋喃-2-基硫代丙酸酯
暂时没有厂家供应该产品。
基本信息
产品名称 S-[2-[3-[[(2R)-4-[[[(2R,3S,4R,5R)-5-(6-氨基嘌呤-9-基)-4-羟基-3-膦酰氧基四氢呋喃-2-基]甲氧基-羟基磷酰]氧基-羟基磷酰]氧基-2-羟基-3,3-二甲基丁酰基]氨基]丙酰氨基]乙基]3-呋喃-2-基硫代丙酸酯
英文名 S-[2-[3-[[(2R)-4-[[[(2R,3S,4R,5R)-5-(6-Aminopurin-9-Yl)-4-Hydroxy-3-Phosphonooxyoxolan-2-Yl]Methoxy-Hydroxyphosphoryl]Oxy-Hydroxyphosphoryl]Oxy-2-Hydroxy-3,3-Dimethylbutanoyl]Amino]Propanoylamino]Ethyl] 3-Furan-2-Ylpropanethioate
别名 S-[2-[3-[[(2R)-4-[[[(2R,3S,4R,5R)-5-(6-Aminopurin-9-Yl)-4-Hydroxy-3-Phosphonooxy-Tetrahydrofuran-2-Yl]Methoxy-Hydroxy-Phosphoryl]Oxy-Hydroxy-Phosphoryl]Oxy-2-Hydroxy-3,3-Dimethyl-Butanoyl]Amino]Propanoylamino]Ethyl] 3-(2-Furyl)Propanethioate; 3-(2-Furyl)Propanethioic Acid S-[2-[[3-[[(2R)-4-[[[(2R,3S,4R,5R)-5-(6-Amino-9-Purinyl)-4-Hydroxy-3-Phosphonooxy-2-Tetrahydrofuranyl]Methoxy-Hydroxyphosphoryl]Oxy-Hydroxyphosphoryl]Oxy-2-Hydroxy-3,3-Dimethyl-1-Oxobutyl]Amino]-1-Oxopropyl]Amino]Ethyl] Ester; 3-(2-Furyl)Propanethioic Acid S-[2-[3-[[(2R)-4-[[[(2R,3S,4R,5R)-5-(6-Aminopurin-9-Yl)-4-Hydroxy-3-Phosphonooxy-Tetrahydrofuran-2-Yl]Methoxy-Hydroxy-Phosphoryl]Oxy-Hydroxy-Phosphoryl]Oxy-2-Hydroxy-3,3-Dimethyl-Butanoyl]Amino]Propanoylamino]Ethyl] Ester
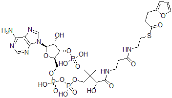
分子结构 CAS 登录号:75368-14-8, S-[2-[3-[[(2R)-4-[[[(2R,3S,4R,5R)-5-(6-氨基嘌呤-9-基)-4-羟基-3-膦酰氧基四氢呋喃-2-基]甲氧基-羟基磷酰]氧基-羟基磷酰]氧基-2-羟基-3,3-二甲基丁酰基]氨基]丙酰氨基]乙基]3-呋喃-2-基硫代丙酸酯
分子式 C28H42N7O18P3S
分子量 889.66
CAS 登录号 75368-14-8
分子行输入简码 SMILES [C@H]1(O[C@@H]([C@@H](O[P](=O)(O)O)[C@H]1O)CO[P](O[P](OCC([C@@H](O)C(=O)NCCC(=O)NCCSC(=O)CCC2=CC=CO2)(C)C)(=O)O)(=O)O)[N]3C4=C(N=C3)C(=NC=N4)N
国际化学标识码 InChI 1S/C28H42N7O18P3S/c1-28(2,23(39)26(40)31-8-7-18(36)30-9-11-57-19(37)6-5-16-4-3-10-48-16)13-50-56(46,47)53-55(44,45)49-12-17-22(52-54(41,42)43)21(38)27(51-17)35-15-34-20-24(29)32-14-33-25(20)35/h3-4,10,14-15,17,21-23,27,38-39H,5-9,11-13H2,1-2H3,(H,30,36)(H,31,40)(H,44,45)(H,46,47)(H2,29,32,33)(H2,41,42,43)/t17-,21-,22-,23+,27-/m1/s1
国际化学标识检索码 InChIKey ZZJUUVMUQVPHBB-SVHODSNWSA-N
物理化学性质
密度 1.838g/cm3 (计算值)
市场分析报告
相关产品
[[(2R,3S,4R,5R)...  S-[2-[3-[[4-[[[...  S-[2-[3-[[(2R)-...  S-[2-[3-[[(2R)-...  S-[2-[3-[[(2R)-...  S-[2-[3-[[4-[[[...  S-[2-[3-[[(2R)-...  S-[2-[3-[[(2R)-...  S-[2-[3-[[4-[[[...  S-[2-[3-[[(2R)-...  S-[2-[3-[[4-[[[...  S-[2-[3-[[(2R)-...  S-[2-[3-[[(2R)-...  S-[2-[3-[[(2R)-...  S-[2-[3-[[4-[[[...  S-[2-[3-[[4-[[[...  2-[2-[2-[3-[[4-...  5-[2-[3-[[(2R)-...  5-[2-[3-[[4-[[[...  5-[2-[3-[[(2R)-...